문제1)

풀이1)
걍 대입해서 풀면

풀이2)
3을 넘기고

양변을 제곱해서 정리하면

따라서, 답은

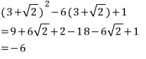
문제2)

풀이1)
걍 대입해서 풀면

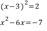
풀이2)
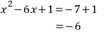
3을 넘기고, 양변을 제곱해서 정리하면

따라서, 답은

여기까지가 중학교 문제..!!
고등학교에선 3차식, 4차식의 값을 구하는 문제가 나오죠
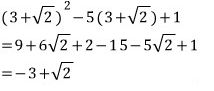
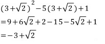
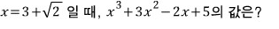
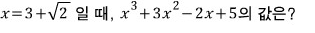
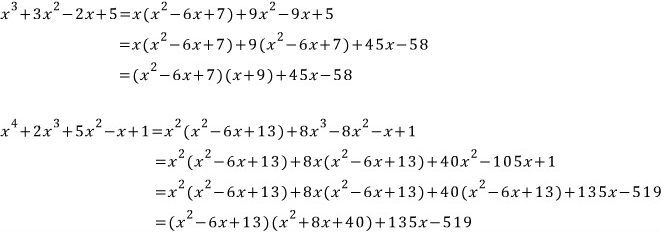
문제3)

풀이1)
3차식인들 어떠하리... 걍 대입해서 풀면

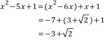
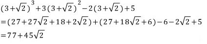
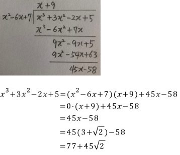
풀이2)
3을 넘기고, 양변을 제곱해서 정리하면

주어진 식을 이 식으로 직접 나눕니다.

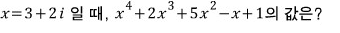
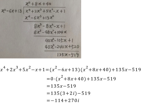
문제4)

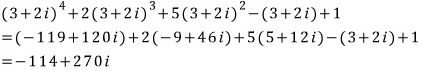
풀이1)
아... 고민되지만 그래도 걍 대입해서 풀어볼께요

풀이2)
3을 넘기고, 양변을 제곱해서 정리하면

주어진 식을 이 식으로 나누면

매번 말씀드리지만
어떤 풀이를 선택하느냐는 전적으로 여러분의 몫입니다.
그리고, 한가지 덧붙이면... 문제3, 4에서
그림 그려서 직접 나누는 게 귀찮으면 식으로 직접 나누기도 하죠. 요렇게

이 방식이 더 귀찮나요..?! ;;;;; 뭐... 암튼
중요한 건 아니니까 넘 신경쓰진 마세용~
조금(?) 어려운 문제 하나만 더 풀고 끝낼께요
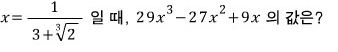
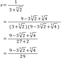
문제5)

이런 문제를 보면
제일 먼저 생각나는 건 유리화..?!

하지만, 양변에 29를 곱하고, 9를 넘겨주고

식을 이렇게 저렇게 정리해 봐도
뭐... 딱히 해결의 실마리가 보이지 않습니다. ㅠ
그래서, 이번에는
위의 문제1, 2, 3, 4의 풀이2 방식으로 접근해 보겠습니다.

양변을 세제곱하면

답이 바로 나오네요~ ^-^//
요기로 가면 → www.gajok.co.kr/math.html
다른 글들도 편리하게 볼 수 있습니다.

'수학' 카테고리의 다른 글
| 분수식의 변형 (2) (0) | 2021.05.30 |
|---|---|
| 분수식의 변형 (1) (0) | 2021.05.23 |
| 식의 값 (1) (0) | 2021.05.10 |
| 번분수 (0) | 2021.05.03 |
| 약분 (0) | 2021.04.26 |