728x90
반응형

요정도(?)는 다 바꿀 수 있죠..?! ;;;;;
('분수식의 변형 (1)' 참고요~)
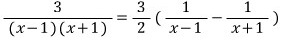
공식을 이용하지 않고 걍 바꿔볼께요

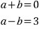
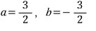
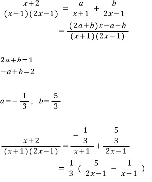
요렇게 놓고 a, b 값을 구합니다.

따라서

풀면

그래서 식이 이렇게 바뀐 것입니다.

하지만..!!
식을 매번 이런 방식으로 바꾸려니 번거롭습니다.
그래서 공식이란 걸 만들어 놓고 바로바로 바꾸는 것입니다.
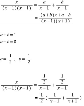
그런데..!! 이건 뭐죠..?

분자에 상수가 아닌
일차식이 버티고 있습니다.
이런 분수식은 공식이란 것이 따로 없습니다.
그냥 a, b로 놓고 구해야 합니다.

몇 개 연습해 볼까요
연습1)

연습2)

분모가 3차식인 경우는 드물지만
그래도... 한번 해보면
분모가 2차식이면
분자는 1차식 (bx+c)로 놓아야 합니다.
연습3)

뭐... 그럭저럭 할 만하죠..?! ^-^// ;;;;;
요기로 가면 → www.gajok.co.kr/math.html
다른 글들도 편리하게 볼 수 있습니다.

728x90
반응형
'수학' 카테고리의 다른 글
| 등차수열 (1) (0) | 2021.06.13 |
|---|---|
| 분수식의 변형 (3) (0) | 2021.06.06 |
| 분수식의 변형 (1) (0) | 2021.05.23 |
| 식의 값 (2) (0) | 2021.05.17 |
| 식의 값 (1) (0) | 2021.05.10 |