728x90
반응형
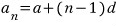
첫째항 a, 공차 d인 등차수열의 일반항은

예를 들어
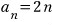
첫째항 3, 공차2인 등차수열의 일반항은

위와 같이
공식에 대입해서 구해도 되지만
쪼금 편하게(?) 구하는 방법이 있습니다.
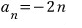
공차가 2이면 일단 이렇게 씁니다.

첫째항이 3이 되려면
즉, n에 1을 대입해서 3이 나오려면
뒤에 1을 더해주면 됩니다. 요렇게

별 거 아닌 요령같지만
은근히 유용하게 쓰인다는... ;;;;;
하나만 더 연습해 볼께요
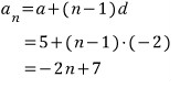
첫째항 5, 공차 -2인 등차수열의 일반항은
공식으로 구해도 되고

아니면...
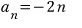
공차가 -2니까 일단 요렇게 써놓고

첫째항이 5가 되려면
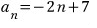
즉, n에 1을 대입해서 5가 나오려면
뒤에 +7

이렇게 구해도 됩니다.
두 번째 방법이 쫌 편하지 않나요..?!
아님 말구요... ^-^// ;;;;;
요기로 가면 → www.gajok.co.kr/math.html
다른 글들도 편리하게 볼 수 있습니다.

728x90
반응형
'수학' 카테고리의 다른 글
| 일반항 (2) (0) | 2021.06.27 |
|---|---|
| 일반항 (1) (0) | 2021.06.20 |
| 분수식의 변형 (3) (0) | 2021.06.06 |
| 분수식의 변형 (2) (0) | 2021.05.30 |
| 분수식의 변형 (1) (0) | 2021.05.23 |