728x90
반응형

위 수열의 일반항은..?

너무 쉽나요..?
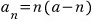
그럼 아래 수열의 일반항은요..?

아... 이건 뭐지..?! ㅠ
a가 오나, n이 오나... 똑같은 수열인데
a가 오면 일반항을 구하고
n이 오면 일반항을 못 구하고
이러면 안 되겠죠..?!
우리가 일반항이라고 하면

사실은 아래와 같이
아무 문자나 사용해도 상관이 없습니다.

그렇기 때문에

위와 같이 하필이면 n이 들어가 있는 수열의 일반항을 구하라고 하면
n대신에 다른 문자를 사용하여 일반항을 구합니다.
그렇다고 아무 문자나 막 사용하지 말고
가능하면 k를 사용하세요~
딱히 이유는 알 수 없지만
대부분의 풀이집을 보면 k를 사용하거든요 ;;;;;
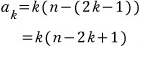
처음으로 돌아가서

위 수열의 일반항을 구하라고 하면
이렇게 적으면 됩니다.

하나 더 연습해보면

위 수열의 일반항은..?

일반항 구할 때 n이 들어가 있으면

이것만 기억하고 있으면
간단하게 일반항을 구할 수 있답니다~ ^-^//
요기로 가면 → www.gajok.co.kr/math.html
다른 글들도 편리하게 볼 수 있습니다.

728x90
반응형