728x90
반응형
문제1)
첫째항 3, 공차 2인 등차수열의 50항까지의 합은?
풀이1)
공식에 대입만 하면 되죠

풀이2)
일반항을 구해서

50번째항을 구하고

다른 공식에 대입하면

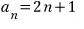
풀이3)
일반항을 구해서

시그마를 이용하면

풀이1, 2와 같이
등차수열은 합을 구하는 공식이 있긴 하지만
갠적으로
시그마를 이용하는 풀이3을 권장합니다~ ;;;;;
문제2)
5 + 8 + 11 + 14 + · · · + 74 의 값은?
풀이1)
첫째항 5, 공차 3인 등차수열
일반항을 구해서

74를 대입하면

74는 24번째항
다른 말로, 항의 개수는 24개
이제 공식에 대입하면

풀이2)
풀이1과 똑같이
항의 개수(24개)를 구하고
두 번째 공식에 대입하면

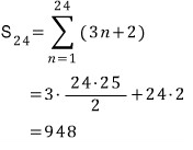
풀이3)
역시 풀이1과 똑같이
항의 개수(24개)를 구하고
시그마를 이용하면

이래저래
시그마가 편하지 않나요..?!
아님 말구요~ ^-^// ;;;;;
요기로 가면 → www.gajok.co.kr/math.html
다른 글들도 편리하게 볼 수 있습니다.

728x90
반응형