728x90
반응형
문제1)

그냥 공식에 집어넣어서

이케 풀고 끝내면 안돼요~

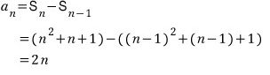
이 공식을 이용해서 구한

두번째 항부터 성립하는 거고
첫번째 항은 따로 구해야 합니다. 요렇게요

따라서
답안지에는 이렇게 적어야 된다는 거..!!

문제2)

문제1과 똑같이 풀어보면

따라서

답안지에 이렇게 적고 끝~하면 좋겠는데
확인할 게 한가지 있습니다.

이 때는 답안지에 이렇게 적으면 안되고

그냥 이렇게만 적어야 됩니다.

문제1의 답으로 돌아가서

그렇기 때문에 답안지에
이렇게 다 적어준 것입니다.

정리하면

답을 잘 적으라는 게 무슨 정리냐구요..?! ㅎ
PS.

이렇게 구해도 되지만

아님 말구요... ^-^// ;;;;;
요기로 가면 → www.gajok.co.kr/math.html
다른 글들도 편리하게 볼 수 있습니다.

728x90
반응형