728x90
반응형
수열의 합은
① 일반항 구하고
② 시그마 붙이면 끝..!!
문제1)

등차수열인데 공식으로 안 구하고
왜 굳이 시그마를 쓰냐구요..? 글쎄요 ;;;;;
'등차수열 (2)'를 참고해 주세요~
문제2)

식정리가 잘 안되면 '통분' 참고요~
여러분이 어려워하는
군수열도 다르지 않습니다.
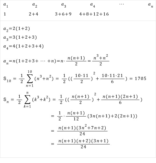
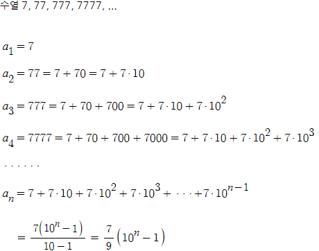
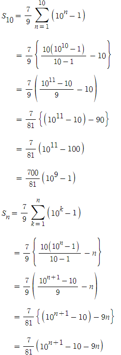
문제3)

흔하게(?) 생긴 군수열 두어개 더 해보면
문제4)

문제5)

문제6)



할 만하죠..?! ;;;;;
군수열에 너무 쫄지 마세요~ ^-^//
PS.
군수열을 이렇게 주면 좀 달라보이나요..?
문제5와 똑같은 군수열인데...

▶ 수학 전체 목록 바로가기 → www.gajok.co.kr/math.html
728x90
반응형