728x90
반응형
수열의 합은
① 일반항 구하고
② 시그마 붙이면 끝..!! 이라고 '수열의 합 (1)'에서 얘기했습니다~
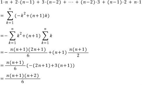
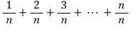
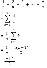
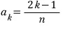
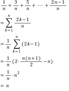
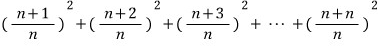
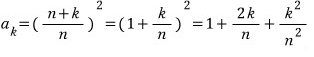
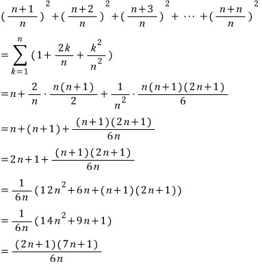
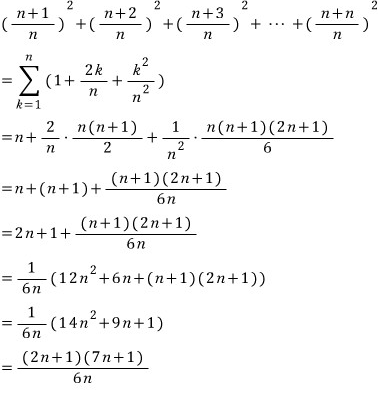
문제1)

일반항을 구하고 ('일반항 (2)' 참고요~)

시그마를 이용하면

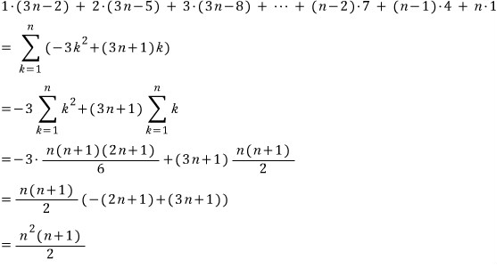
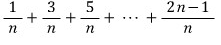
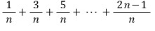
문제2)

일반항을 구하고

시그마를 이용하면

문제3)

일반항은

따라서

문제4)

일반항은

따라서

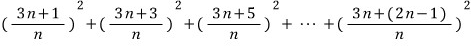
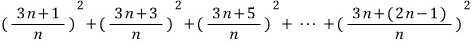
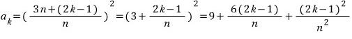
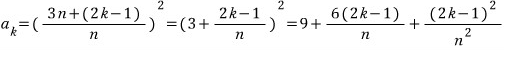
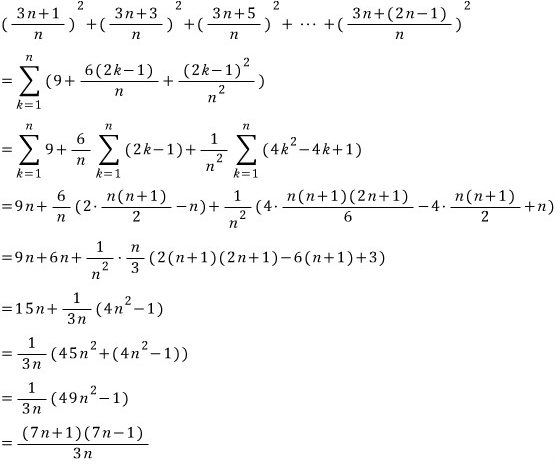
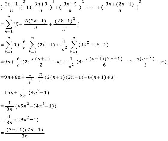
문제5)

일반항은

따라서

문제6)

일반항은

따라서

에궁... 어케 문제를 만들다보니
식이 너무 복잡해졌네요 ;;;;;
나름 열심히 정리했는데 맞을랑가..?!
여러분이 확인해 보세요~ ^-^//
요기로 가면 → www.gajok.co.kr/math.html
다른 글들도 편리하게 볼 수 있습니다.

728x90
반응형