728x90
반응형
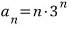
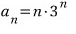
수열의 합은
① 일반항 구하고
② 시그마 붙이면 끝..!! 이라고
'수열의 합 (1), (2)'에서 두 번이나 얘기했지만
불행히도
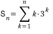
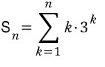
이 방식으로는 풀 수 없는 수열이 있습니다. ㅠ

일반항은 간단히 나오는데

시그마가 해결이 안됩니다.

그래서 이런 수열은
일일이 수작업(?)으로 수열의 합을 구해야 합니다.
그 전에 뜬금없지만
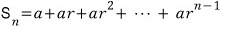
등비수열의 합을 구하는 공식을 한번 유도해 보겠습니다.

양변에 공비 r을 곱해주는데
적을 때 하나씩 뒤로 미뤄서 적습니다. 요렇게요

이제 윗식에서 아랫식을 빼주면
항이 다 없어지고 달랑 2개만 살아남습니다.


이번에는 아랫식에서 윗식을 빼주면

많이 보던 등비수열의 합 공식이죠..?!
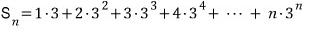
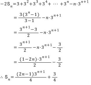
본론으로 돌아와서
구하려는 수열의 합도 이와 비슷한 방법으로 구합니다.

양변에 3을 곱해주는데
역시 하나씩 뒤로 미뤄서 적습니다.

이제 윗식에서 아랫식을 빼줍니다.

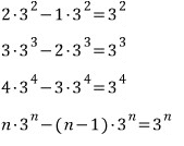
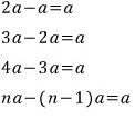
여기서 잠깐..!!
이게 이해가 안되는 건 아니죠..?!

아래와 똑같은 원리(?)입니다.

이제 식을 정리해보면

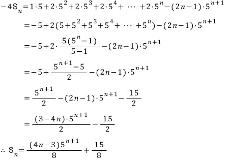
그냥 끝내기 아쉬우니까
하나만 더 풀게요~

양변에 5를 곱해주고... 빼주면...

음... 식을 정리하는 게 만만찮을 듯요

위의 식 정리 과정에서 이해가 안되는 부분이 있으면
공부 좀 하는 친구에게 물어보세요~ ㅎ ^-^//
요기로 가면 → www.gajok.co.kr/math.html
다른 글들도 편리하게 볼 수 있습니다.

728x90
반응형