728x90
반응형
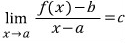
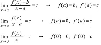
아래 식에는
조건이 2개 숨어 있습니다.

①
x→a 일 때
분모→0 이고, 극한값이 존재하므로
분자→0 이어야 합니다. 즉, f(a)=b
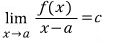
②

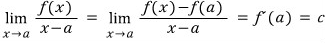
이제 아래 식을 보면
2개의 식이 바로 보이겠죠..?!

이건 어떤가요... 보이나요?
b=0 인 경우인데

f(a)=0 이므로

즉

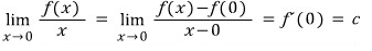
이건 또 어떤가요..?!
a=0, b=0 인 경우입니다.

f(0)=0 이므로

즉

위의 3개의 식을 모아보면

사실 뭐...
3개 모두 같은 식입니다.
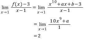
문제1)

바로 보이죠..?!
이제 풀기만 하면 됩니다.

그냥 이렇게 바르게(?) 풀면 되는데
많은 학생들이 분모와 분자를 미분해서(로피탈의 정리) 풀죠

따라서, a=-8 이고

로피탈의 정리를 이용해서 푸는 것이 편하다보니
고3쯤 되면 무조건 로피탈의 정리로 문제에 접근하는 경향이 생깁니다.
뭐... 로피탈의 정리를 이용해서 풀었다해서 문제될 건 없지만
그래도 바른(?) 풀이를 잊어버리면 안돼요~ ;;;;;
기회가 되면 로피탈의 정리도 한번 정리하겠슴다. 암튼
한문제만 더 풀고 끝내죠
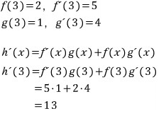
문제2)

암산 가능한가요..?!
농담임다. 암산 시도하지 마세요..!! ;;;;;

요기로 가면 → www.gajok.co.kr/math.html
다른 글들도 편리하게 볼 수 있습니다.

728x90
반응형