728x90
반응형

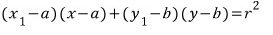
유도해 보면
방법1)

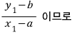
원의 중심(a, b)와 접점을 이은 선분의 기울기는

접선의 기울기는

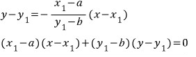
따라서, 접선의 기울기는

식을 살짝 조작(?)하고

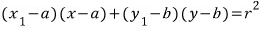
정리하면

따라서, 접선의 방정식은

방법2)

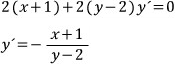
양변을 x로 미분하면

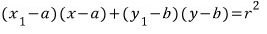
따라서, 접선의 방정식은

방법1과 같은 방식으로 정리하면

합성함수의 미분에 관한
자세한(?) 내용은 '합성함수의 미분 (1), (2)' 참고요~
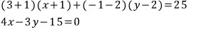
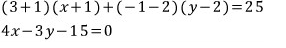
문제)

풀이1)
공식으로 풀면

풀이2)

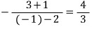
원의 중심(-1, 2)와 접점(3, -1)을 이은 선분의 기울기가 -3/4 이므로
접선의 기울기는 4/3
따라서, 접선의 방정식은

정리하면

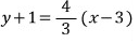
풀이3)

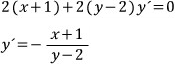
양변을 x로 미분하면

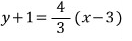
(3, -1)에서의 접선의 기울기는

따라서, 접선의 방정식은

정리하면

끄으으으읏~ ^-^//
요기로 가면 → www.gajok.co.kr/math.html
다른 글들도 편리하게 볼 수 있습니다.

728x90
반응형