이해도 안 되고, 잘 외워지지도 않는 ㅠ
미적분의 난코스... 구분구적법..!!
차근차근 하나하나 이해해 보겠슴다.
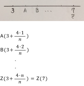
3과 7사이의 간격은 4 (7-3=4)

이것을 5등분하면, 하나의 간격은 4/5

따라서, 수직선에서 각 점의 값은

이제 함수를 임의로(아무거나) 하나 만들고
사각형을 그려서 (5등분했기 때문에 사각형은 5개가 생깁니다.)
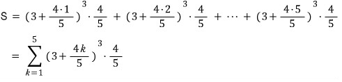
각각의 넓이를 구해보면

사각형의 넓이를 모두 더해볼까요

결론은

이제, 이 식을 딱 보고... 음...
3에서 시작해서 4만큼 갔고 (즉, 3에서 7까지고)

이런 것이 눈에 들어오면 일단은 성공이고
다시 처음으로 돌아가서
똑같은(?) 걸 반복해 보겠슴다.
이번에는
3과 7사이를 n등분 하면, 하나의 간격은 4/n

따라서, 수직선에서 각 점의 값은

이제 함수를 임의로 하나 만들고
사각형을 그려서 (n등분 했기 때문에 사각형은 n개가 생깁니다.)
각각의 넓이를 구해보면

사각형의 넓이를 모두 더해보면

결론은

이제, 이 식을 딱 보고... 음...
3에서 시작해서 4만큼 갔고 (즉, 3에서 7까지고)

이런 것이 눈에 들어오면
이번 역시 성공입니다.
이제 어느 정도 느낌이 왔으리라 믿고
진짜배기(?)로 다시 한번 해보겠습니다~
a에서 b까지를 n등분
함수는 걍 f(x)
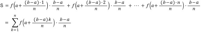
a와 b사이의 간격은 b-a (b>a 라고 가정)

이것을 n등분 하면, 하나의 간격은 (b-a)/n

따라서, 수직선에서 각 점의 값은

이제 임의의 함수에
사각형을 그려서 각각의 넓이를 구해보면

사각형의 넓이를 모두 더해보면

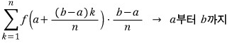
결론은

이제, 이 식을 딱 보면... 음...
a에서 시작해서 (b-a)만큼 갔고 (즉, a에서 b까지고 ← a+(b-a)=b)
주어진 함수는 그냥 f(x)
눈에 들어오죠..?! ;;;;;

이 식을 살짝살짝 변형하면
새로운(?) 식이 3개 정도 나옵니다.
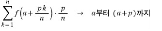
① (b-a)를 p로 치환하면

② a=0 이면

③ p=1 이면

일단 여기까지... 끄으으으읏~ ^-^//
요기로 가면 → www.gajok.co.kr/math.html
다른 글들도 편리하게 볼 수 있습니다.

'수학' 카테고리의 다른 글
| 구분구적법 (3) (0) | 2022.03.28 |
|---|---|
| 구분구적법 (2) (0) | 2022.03.16 |
| 분수식의 적분 (0) | 2022.02.21 |
| 접선의 방정식 (4) (0) | 2022.02.10 |
| 접선의 방정식 (3) (0) | 2022.02.04 |