시작하기 전에
미리 좀 구분을 하자면
'접선의 방정식 (2), (3)'에서 다룬 내용은
원 위의 점에서의 접선의 방정식이고

지금 하려는 것은
원 밖의 점에서 원에 그은 접선의 방정식입니다.

문제1)

풀이1)
접점의 좌표를 (a, b)로 놓으면

접선의 방정식은

이 접선이 (2, 4)를 지나야 하므로

그리고
(a, b)는 원 위의 점이므로

두 식을 연립해서 풀면

이런 상황이네요

풀이2)
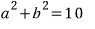
점 (2, 4)를 지나는 직선의 방정식은

이 직선이 원에 접하려면
원의 중심 (0, 0)에서 직선까지의 거리가
원의 반지름과 같으면 됩니다.

양변 제곱하고 정리하면

풀이3)
점 (2, 4)를 지나는 직선의 방정식은

음... 일단
풀이3으로 푸는 사람은 거의 없을 거고
미분개념을 이용해서 푸는 풀이1이 기본풀이(?)인데
역시 많은 학생들이 별로 좋아라 할 것 같지 않고 ㅠ
대부분의 학생들은 풀이2를 선호할 듯요
문제집도 대부분 이케 풀어 놓았구요
그런데 여기서 문제가 발생합니다.
문제2)
점 (2, 4)에서
원 x²+y²=4 에 그은 접선의 방정식은?
풀이1)
접점의 좌표를 (a, b)로 놓으면

접선의 방정식은
ax+by=4
이 접선이 (2, 4)를 지나야 하므로
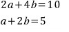
2a+4b=4
a+2b=2
그리고
(a, b)는 원 위의 점이므로
a²+b²=4
두 식을 연립해서 풀면
(2-2b)²+b²=4
5b²-8b=0
b(5b-8)=0
∴ b=0 또는 b=8/5
b=0 일 때, a=2
b=8/5 일 때, a=-6/5
ax+by=4 에 대입하면
구하려는 접선의 방정식이 나옵니다.

정리하면
x=2
3x-4y+10=0
이런 상황이네요

여기까지는 괜찮은데
문제는 풀이2아 풀이3에서 발생합니다.
풀이2)
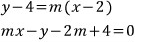
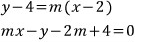
점 (2, 4)를 지나는 직선의 방정식은
y-4=m(x-2)
mx-y-2m+4=0
이 직선이 원에 접하려면
원의 중심 (0, 0)에서 직선까지의 거리가
원의 반지름과 같으면 됩니다.

양변을 제곱하고 정리하면
m=3/4
mx-y-2m+4=0 에 대입해서 정리하면
3x-4y+10=0
어라..?!
원 밖의 한 점에서 원에 접선을 그으면
접선은 분명 2개가 존재하는데
답이 1개밖에 나오지 않습니다. ㅠ
이런 사태가 발생하는 이유는
문제에서 주어진 점 (2, 4)가
원의 입장에서 볼 때는 좀 특별한(?) 위치에 있기 때문입니다.
이 상황을 정확히 그려보면

이유가 보이나요?
2개의 접선 중 하나는
y축과 평행하기 때문에 기울기가 존재하지 않습니다.
그래서 기울기 m의 값이 1개만 나온 것입니다.
그럼 이딴 문제는 어케 풀어야 할까요..?!
뭐.. 딱히 방법이 없습니다.
문제를 잘 보고 상황파악을 잘 하는 수 밖에... ;;
아... 방법이 있네요. 풀이1..!! ㅎ
마지막으로 풀이3도
기울기 m이 들어가 있으니까
답이 하나만 나오겠죠..?!
풀이3)
점 (2, 4)를 지나는 직선의 방정식은
y-4=m(x-2)
y=mx-2m+4
이 직선과 x²+y²=4 가 서로 접하려면
(판별식=0) 이 되면 됩니다.
x²+(mx-2m+4)²=4
(m²+1)x²-2(2m²-4m)x+4m²-16m+12=0
D/4=(2m²-4m)²-(m²+1)(4m²-16m+12)
=16m-12=0
∴ m=3/4
예상대로(?) m의 값이 하나만 나옵니다.

나머지 하나는 투철한 통찰력으로 ;;
x=2
문제3)
점 (4, 2)에서
원 x²+y²=4 에 그은 접선의 방정식은?
이 문제는 어때 보이나요?
여러분은 풀이1, 2, 3 중에서 어떤 풀이를 선택하고 싶은가요?
답은
y=2, 4x-3y-10=0 이니까요
여러분이 직접 확인해 보세요~
저의 역할은 여기까지임다~ ^-^// ;;
▶ 수학 전체 목록 바로가기 → www.gajok.co.kr/math.html