728x90
반응형
사각형 넓이의 합과
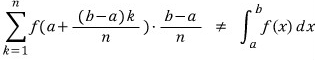
실제 우리가 구하려는 넓이는 같지가 않습니다.

식으로 써보면 ('구분구적법 (1)' 참고요~)

오차가 발생하죠. 요만큼

그런데, 사각형을 한번 더 쪼개면(?)
오차가 줄어듭니다. 요만큼

이런 식으로
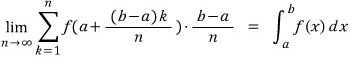
사각형을 계속 나누다 보면 (즉, n을 무한대로 보내면)
오차는 사라지고 결국에는
우리가 구하고자 하는 넓이와 같아집니다.
다 됐습니다.
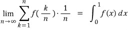
식으로 써볼까요

짜잔~ 바로 이 식이
우리를 그렇게 괴롭히는 구분구적법의 실체(?)입니다.

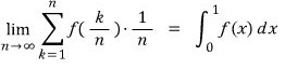
이 식을 살짝살짝 변형하면
새로운(?) 공식이 3개 정도 나옵니다.
① (b-a)를 p로 치환하면

② a=0 이면

③ p=1 이면

'구분구적법 (1)'의 마지막에 나오는
식 3개와 똑같죠..?! ^-^//
요기로 가면 → www.gajok.co.kr/math.html
다른 글들도 편리하게 볼 수 있습니다.

728x90
반응형