이제 이런저런 문제들을 풀면서
감을 잡아보겠습니다.
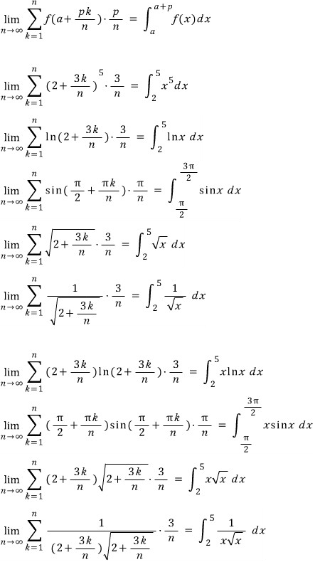
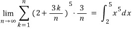
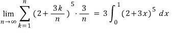
① 기본유형

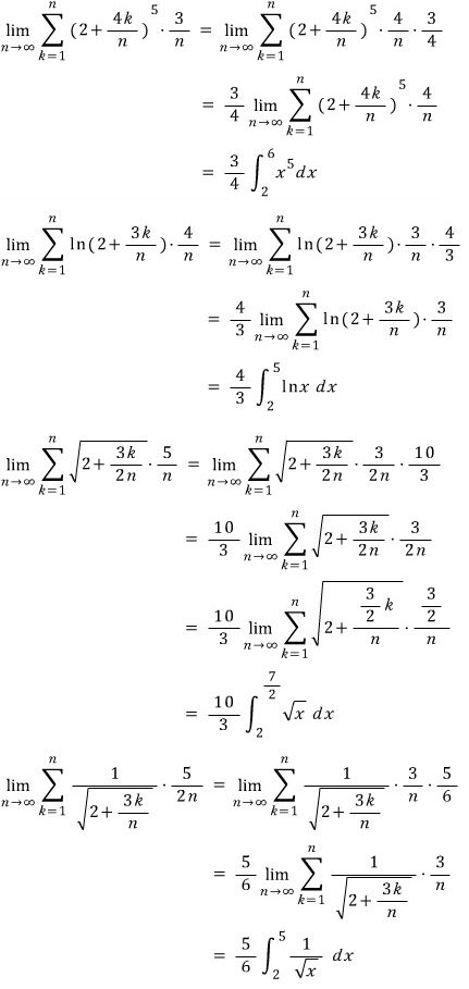
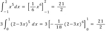
② 숫자 맞추기

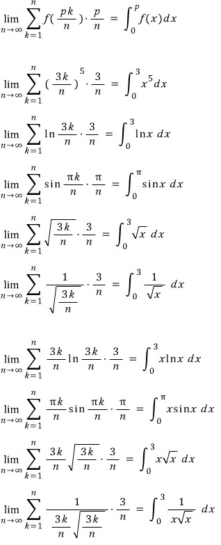
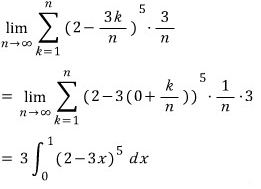
③ a=0 인 경우

④ a=0 인 경우 거꾸로 풀기 (급수로 나타내기)

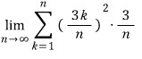
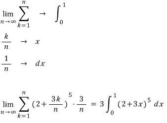
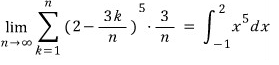
이제 이 급수를 보면

요렇게 정적분으로 바꿀 수 있죠..?!
그럼 거꾸로

이 정적분을 보고

요렇게 급수로도 바꿀 수 있어야 하는 건
당연한 거죠..?! 그런 거죠..?! ;;;;;
믿고 정적분을 급수를 이용해서 풀어보겠습니다.

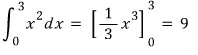
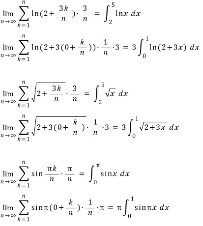
제대로 풀었는지 확인해 볼까요

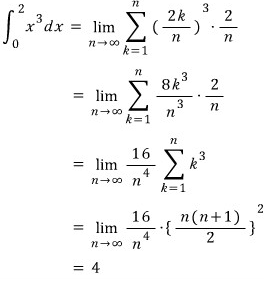
하나 더 해보면

확인해보면

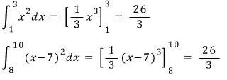
⑤ 평행이동

그림으로 그려볼께요

그럼 당연히

한번 확인해 볼까요

일반식으로 써보면

열심히 문제를 풀어서 답이 나왔는데 보기에 없다..?!
그럼, 평행이동 시켜가면서 똑같은 놈을 찾아야 합니다.
예를 들어
답이 요렇게 나왔는데

보기에 없으면
1만큼, 2만큼, 3만큼, ... 평행이동 해보고

그래도 없으면
-1만큼, -2만큼, -3만큼, ... 평행이동 해보고

그래도 없으면..?
그럼 뭐 문제를 잘못 풀었나 보죠 ;;;;;
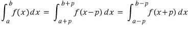
⑥ 공식

이 급수를 정석대로(?) 해석하면

이번에는 좀 다르게 해석해 볼까요

그래서
요렇게 바꾸라는 요상한(?) 공식이 등장하죠

이 공식은

어렵죠..?! ㅠ 넘 신경쓰지 마세요
이해 따위(?) 필요없고 걍 외우죠... 뭐... ㅋ
이해를 했든, 걍 외웠든
몇 개 연습해보면

사실

이렇게 바꾸면 될 걸
굳이 힘들게

이렇게 바꿀 필요는 없습니다.
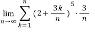
그런데, 문제를 풀다보면
구간과 함수가 딱히 잘 보이지 않을 때가 있습니다.

어떠세요..? 부호만 바꼈는데
구간과 함수가 눈에 들어오나요..?
물론, 구분구적법을 수도없이 많이 해본 고수라면
그림을 정확히 이해하고 이렇게 바꿀 수도 있을 것입니다.

하지만, 우리는 이렇게까지는 필요없고
걍 공식으로 푸는 걸로... ;;;;; 요렇게

확인해 볼까요
결과가 같게 나오는지

사실, 이 식은

2에서 시작해서 음의 방향으로 3만큼 갔다는 의미입니다.
그래서, -1부터 2까지..!!
걍 한번 해본 거니까요
궁금하신 분들만 잠깐 생각해 보시고 ;;;;;
너무 신경쓰지 마세요~
⑦ 정리

뭐... 이 정도 했으면
이제 웬만한 구분구적법 문제는 껌이겠죠..?!
짝짝~ (껌씹는 소리 ㅋ.. ^-^//)
요기로 가면 → www.gajok.co.kr/math.html
다른 글들도 편리하게 볼 수 있습니다.
