밑변의 길이 a, 높이 h인 삼각형

이걸
구분구적법으로 한 번 구해보겠습니다.
아래 그림과 같이
삼각형을 5등분해서 직사각형을 만들고
그 넓이를 모두 더해보면

이번에는
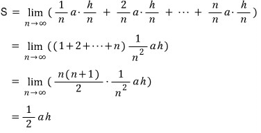
삼각형을 n등분해서 직사각형을 만들고
그 넓이를 모두 더해보면

그런데
사각형 넓이의 합과
실제 우리가 구하려는 삼각형의 넓이는 같지가 않습니다.
오차가 발생하죠. 요만큼

그런데, 사각형을 한 번 더 쪼개면(?)
오차가 줄어듭니다. 요렇게

이런 식으로
사각형을 계속 나누다보면 (즉, n을 무한대로 보내면)
오차는 사라지고 결국에는
우리가 구하고자 하는 삼각형의 넓이와 같아집니다.
다 됐습니다.
식으로 써볼까요

이번에는
다른 방식의(?) 구분구적법으로
삼각형의 넓이를 구해보겠습니다.
아래 그림과 같이
삼각형을 5등분해서 직사각형을 만들고
그 넓이를 모두 더해보면
(사각형을 삼각형 안쪽으로 만들면
사각형이 5개가 아니라 4개가 생깁니다. 확인하세요~)

이번에는
삼각형을 n등분해서 직사각형을 만들고
그 넓이를 모두 더해보면
(사각형을 삼각형 안쪽으로 만들면
사각형이 n개가 아니라 (n-1)개가 생깁니다. 확인하세요~)

역시, 이 경우에도
사각형 넓이의 합과
실제 우리가 구하려는 삼각형의 넓이는 같지가 않습니다.
오차가 발생하죠. 요만큼

그런데, 사각형을 한 번 더 쪼개면(?)
오차가 줄어듭니다. 요렇게

이런 식으로
사각형을 계속 나누다보면 (즉, n을 무한대로 보내면)
오차는 사라지고 결국에는
우리가 구하고자 하는 삼각형의 넓이와 같아집니다.
다 됐습니다.
식으로 써볼까요

사각형을
바깥쪽으로 만드나 안쪽으로 만드나
결론은 똑같습니다~ ^-^//
요기로 가면 → www.gajok.co.kr/math.html
다른 글들도 편리하게 볼 수 있습니다.
