밑면의 반지름의 길이 r, 높이 h인 원뿔

이걸
구분구적법으로 구해보겠습니다.
아래 그림과 같이
원뿔을 5등분해서 원기둥을 만들고
그 부피를 모두 더해보면
(30분 걸려 나름 최선을 다해 그린 그림입니다. ㅠ)

이번에는
원뿔을 n등분해서 원기둥을 만들고
그 부피를 모두 더해보면

그런데
원기둥의 부피의 합과
실제 우리가 구하려는 원뿔의 부피는 같지가 않습니다.
오차가 발생하죠. 요만큼
(표시를 잘 못하겠네요. 여러분이 알아서 잘 봐 주세요~ ;;;;;)

그런데, 원기둥을 한 번 더 쪼개면(?)
오차가 줄어듭니다. 요렇게
(저는 정말 최선을 다해 그렸다는 거 ㅎ)

이런 식으로
원기둥을 계속 나누다보면 (즉, n을 무한대로 보내면)
오차는 사라지고 결국에는
우리가 구하고자 하는 원뿔의 부피와 같아집니다.
다 됐습니다.
식으로 써볼까요

다른 방식의(?) 구분구적법으로도
원뿔의 부피를 구해보겠습니다.
아래 그림과 같이
원뿔을 5등분해서 원기둥을 만들고
그 부피를 모두 더해보면
(원기둥을 원뿔 안쪽으로 만들면
원기둥이 5개가 아니라 4개가 생깁니다. 확인하세요~)

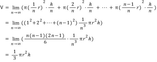
이번에는
원뿔을 n등분해서 원기둥을 만들고
그 넓이를 모두 더해보면
(원기둥을 원뿔 안쪽으로 만드면
원기둥이 n개가 아니라 (n-1)개가 생깁니다. 확인하세요~)

역시, 이 경우에도
원기둥의 부피의 합과
실제 우리가 구하려는 원뿔의 부피는 같지가 않습니다.
오차가 발생하죠. 요만큼
(그림은 어케 할 수가 없네요 ㅠ)

그런데, 원기둥을 한 번 더 쪼개면(?)
오차가 줄어듭니다. 요렇게
(그림은 여러분의 상상에 맡깁니다. ;;;;;)

이런 식으로
원기둥을 계속 나누다보면 (즉, n을 무한대로 보내면)
오차는 사라지고 결국에는
우리가 구하고자 하는 원뿔의 부피와 같아집니다.
다 됐습니다.
식으로 써볼까요

원기둥을
바깥쪽으로 만드나 안쪽으로 만드나
결론은 똑같습니다~ ^-^//
요기로 가면 → www.gajok.co.kr/math.html
다른 글들도 편리하게 볼 수 있습니다.

'수학' 카테고리의 다른 글
| 조합과 순열 (2) (0) | 2022.05.16 |
|---|---|
| 조합과 순열 (1) (0) | 2022.05.02 |
| 구분구적법 (5) (0) | 2022.04.05 |
| 구분구적법 (3) (0) | 2022.03.28 |
| 구분구적법 (2) (0) | 2022.03.16 |