A, B
두 개의 문자를 나열하는 방법은
AB, BA
2가지
A, B, C
세 개의 문자를 나열하는 방법은
ABC, ACB, BAC, BCA, CAB, CBA
6가지
A, B, C, D
네 개의 문자를 나열하는 방법은
ABCD, ABDC, ACBD, ACDB, ADBC, ADCB
BACD, BADC, BCAD, BCDA, BDAC, BDCA
CABD, CADB, CBAD, CBDA, CDAB, CDBA
DABC, DACB, DBAC, DBCA, DCAB, DCBA
24가지
중학생 때
이런 거 하나하나 다 세지 않고 바로 구했죠..?!
A, B
두 개의 문자를 나열하는 방법은

첫 번째 자리에 올 수 있는 경우는 2가지
두 번째 자리에 올 수 있는 경우는 1가지
따라서, 2x1 = 2가지
A, B, C
세 개의 문자를 나열하는 방법은

첫 번째 자리에 올 수 있는 경우는 3가지
두 번째 자리에 올 수 있는 경우는 2가지
세 번째 자리에 올 수 있는 경우는 1가지
따라서, 3x2x1 = 6가지
A, B, C, D
네 개의 문자를 나열하는 방법은

첫 번째 자리에 올 수 있는 경우는 4가지
두 번째 자리에 올 수 있는 경우는 3가지
세 번째 자리에 올 수 있는 경우는 2가지
네 번째 자리에 올 수 있는 경우는 1가지
따라서, 4x3x2x1 = 24가지
고등학생은 이렇게 표현하죠
두 개의 문자를 나열하는 방법은 2x1 = 2!
세 개의 문자를 나열하는 방법은 3x2x1 = 3!
네 개의 문자를 나열하는 방법은 4x3x2x1 = 4!
따라서
n개의 문자를 나열하는 방법은 nx(n-1)x ... x3x2x1 = n!
읽는 법은
이팩토리얼(factorial), 삼팩토리얼, 사팩토리얼, 오팩토리얼, 엔팩토리얼
그냥 간단히
이팩, 삼팩, 사팩, 오팩, 엔팩이라고 읽기도 하는데
공식적으로 사용가능한 건지는... 자신이 없네요 ;;;;;
요정도로 하고
이제 열심히 뽑아보죠
A, B, C, D, E
다섯 개의 문자 중에서 3개를 뽑아 볼까요
순서에 관계없이... 단순히 그냥 뽑기만... 3개를 뽑으면 끝
ABC
ABD
ABE
ACD
ACE
ADE
BCD
BCE
BDE
CDE
요렇게 10개가 나오네요
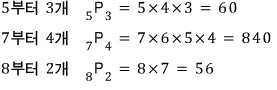
이걸 기호로 요렇게 표현합니다.

정확히 표현하면
다섯 개에서 세 개를 뽑는 경우의 수..!!
C는 조합을 뜻하는 Combination의 첫 글자이고
순서대로 '오씨삼'이라고 읽으면 됩니다.
일반식으로 써보면

참고로
여기서 n개란 '서로 다른' n개 입니다.
이 값을 구하는 공식은

확인해 볼까요

이번에는
A, B, C, D, E
다섯 개의 문자 중에서 3개를 뽑고, 그 뽑은 3개를 나열해 볼까요
ABC → ABC, ACB, BAC, BCA, CAB, CBA
ABD → ABD, ADB, BAD, BDA, DAB, DBA
ABE → ......
ACD → ......
ACE → ......
ADE → ......
BCD → ......
BCE → ......
BDE → ......
CDE → ......
하나의 경우에 6개씩
총 60개가 나오네요
이걸 기호로 요렇게 표현합니다.

정확히 표현하면
다섯 개에서 세 개를 뽑고, 그 뽑은 세 개를 다시 나열하는 경우의 수..!!
P는 순열을 뜻하는 Permutation의 첫 글자이고
순서대로 '오피삼'이라고 읽으면 됩니다.
일반식으로 써보면

역시, 참고로
여기서 n개란 '서로 다른' n개 입니다.
이 값을 구하는 공식은

확인해 볼까요

정리하면
뽑기만 하면 '조합'
뽑아서 나열하면 '순열'
여기서
당연한(?) 공식이 하나 등장하죠

그래서, 개인적으로는
다섯 개에서 세 개를 뽑아 나열하는 걸

이렇게 쓰는 것보다

이렇게 쓰는 걸 선호하고
학생들에게 권장합니다.
정확한 개념으로 순서대로 쓰는 거니까
이해하기 편하거든요
물론, 나중에 많이 익숙해지면
바로 순열을 써야겠죠..?! 암튼
이 글의 제목이
'순열과 조합'이 아닌
'조합과 순열'인 이유입니다.
마지막으로
하나만 더 얘기하면
순열은
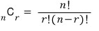
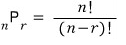
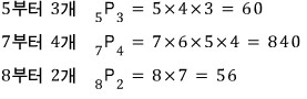
여러가지 방법으로 계산할 수 있습니다.
① 그냥 공식

② 갯수로(?)

③ 순수한(?) 중학교 방식으로

에궁... 하나만 더
앞뒤 숫자가 같을 때는
그냥 간단히 n!

n개에서 n개를 뽑아 나열한다..?!
그냥 n개를 나열한다는 의미입니다.
암튼, 확인해 보면
① 그냥 공식

② 갯수로

③ 순수한 중학교 방식으로

이제
조합과 순열의 개념은
어느 정도 정리된 걸로... ^-^//
요기로 가면 → www.gajok.co.kr/math.html
다른 글들도 편리하게 볼 수 있습니다.

'수학' 카테고리의 다른 글
| 조합과 순열 (3) (0) | 2022.05.30 |
|---|---|
| 조합과 순열 (2) (0) | 2022.05.16 |
| 구분구적법 (6) (0) | 2022.04.19 |
| 구분구적법 (5) (0) | 2022.04.05 |
| 구분구적법 (3) (0) | 2022.03.28 |