728x90
반응형

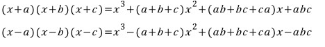
간단한 예를 들어보면

응용(?) 한번 해보면

이걸 이렇게
다르게 풀기도 하는데

결과는 같습니다.
둘 중에 편한 걸로 푸세요~
문제1)

먼저
근과 계수와의 관계에서

연습하는 셈치고
다르게도 한번 풀어볼까요

이 시점에서
공부를 좀 어설프게(?) 한 학생들은
아래 문제2와 좀 헷갈릴 수도... ㅠ
문제2)

보통 풀이집을 보면
이렇게 풀어놨죠

근과 계수와의 관계에서
우리가 구하는 삼차방정식은

이렇게 안 풀고
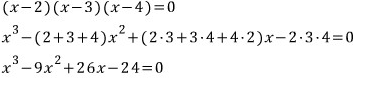
위에서 공부한 걸로 풀어보면
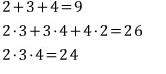
세 근이 2, 3, 4 이므로
우리가 구하는 삼차방정식은

이제, 전개만 하면 되죠

지금 부호가 헷갈려서
갸우뚱하고 있는 건 아니죠..?! ^-^// ;;;;;
▶ 수학 전체 목록 바로가기 → www.gajok.co.kr/math.html
728x90
반응형