
우리가 아주 잘 외우고 있는
기본적인 세제곱 공식입니다.
지금부터 똑같은(?) 거
몇 개 더 해볼께요~
그 전에 이건 다 아는 거죠? ;;;;;

시작합니다~

똑같은 식이지만
지수가 익숙하지 않은 학생들은 머리 아플 수도...
그래도 어떡합니까?
자꾸 익숙해 져야죠 ;;;;;

깝깝~하신가요?
어떡하죠? 더 깝깝한 게 남아있는데... ㅠ

이게 뭐하는 짓이냐구요? 글쎄요...
이런 게 문제로 나온다는 게 문제라면 문제랄까요... ㅠ
문제1)

보이나요?
주어진 식이 (3+2)라는 것이..!!
그래서 답은 그냥 5입니다.
풀이고 뭐고 없습니다.
딱 보고 (3+2)가 보이면 푸는 거고
안보이면 못푸는 거죠... 뭐... ㅠ
문제2)

주어진 식은 (3-2)이므로
답은 1입니다.
문제3)

문제1과 같은 식이고
답은 3+2=5 입니다.
문제4)

문제2와 같은 식이고
답은 3-2=1 입니다.
몇 명이나 따라오고 있는지 모르겠지만
저는 거침없이 제 갈 길 계속 갑니다~

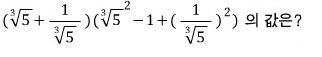
문제5)

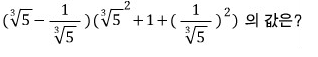
문제6)

문제7)

문제5와 같은 식이고... 답은

문제8)

문제6과 같은 식이고... 답은

PS.
2와 3은 이렇게
같은 줄에 같은 크기로 적으세요

이렇게 쓰면 안돼요~

이렇게 써버리면
시험에서 막 정신없을 때 순간적으로

마찬가지로 아래와 같은 식들도
정확히 쓰면 이렇게 써야 한다는 거..!!

저는 왜 왼쪽 형태로 썼냐구요?
이렇게 밖에 안써져요... ㅠ ;;;;; 암튼
평소에 쓰는 습관..!!
수학에서 참 중요하죠..?!
평소에 습관을 잘 들이세욧~ ^-^//
요기로 가면 → www.gajok.co.kr/math.html
다른 글들도 편리하게 볼 수 있습니다.

'수학' 카테고리의 다른 글
| 식의 전개와 인수분해 (4) (0) | 2020.08.06 |
|---|---|
| 식의 전개와 인수분해 (3) (0) | 2020.08.05 |
| 절댓값 (3) (0) | 2020.07.27 |
| 절댓값 (2) (0) | 2020.07.24 |
| 절댓값 (1) (0) | 2020.07.16 |