문제1)

문제2)

문제3)

문제4)

치환해서 풀어도 되지만

웬만하면 바로 인수분해 하는 것이...

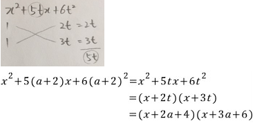
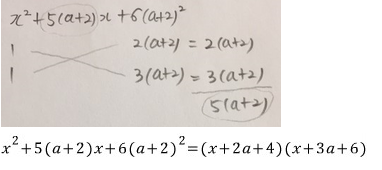
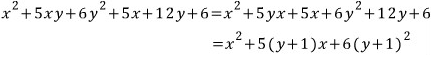
문제5)

문제6)

x의 내림차순으로 정리하면

문제5와 같은 문제입니다.
내림차순으로 정리하지 않고... 이렇게 해놓고

다음에 뭐하지 고민하는 학생들이 있습니다.
공부를 안한 겁니다..!! ;;;;;
공부하는 셈치고
y의 내림차순으로 정리해서 인수분해 함 해볼까요

당연히 결과는 같습니다.
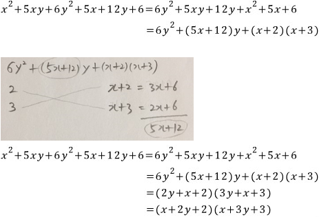
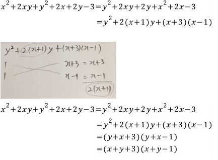
문제7)

문제8)

x의 내림차순으로 정리하면

문제7과 같은 문제입니다.
y의 내림차순으로 정리해서 인수분해 해보면

역시 결과는 같습니다.
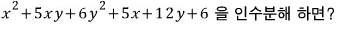
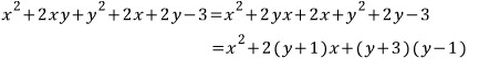
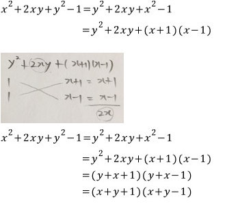
문제9)

문제10)

x의 내림차순으로 정리해서 인수분해하든 (문제 자체가 x의 내림차순으로 되어 있네요)

y의 내림차순으로 정리해서 인수분해하든 (굳이 그럴 필요가 있는지는 모르겠지만요)

선택은 여러분 몫이지만
요정도(?)의 인수분해는 바로 할 수도 있죠..?! 요렇게요...

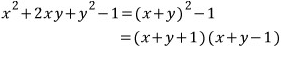
x, y 이차식의 인수분해
이 정도 했으면 된거죠..? ;;;;;
PS.
식은 비슷한데 (똑같은데)
인수분해가 아닌 최솟값을 구하라는 문제가 있습니다.
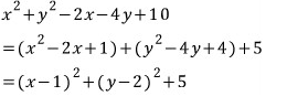
문제11)

이런 문제는 인수분해를 하는 게 아니라 (인수분해가 되지도 않습니다.)
완전제곱식 형태로 바꿔야 합니다.

따라서, 주어진 식은 (x, y가 실수이므로)
x=1, y=2 일 때
최솟값 5를 갖습니다.
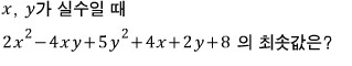
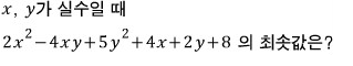
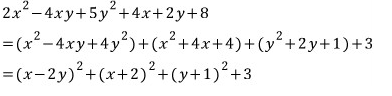
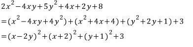
문제12)

이 식을 완전제곱식 형태로 바꿀 수 있겠어요?
이렇게 바꾸면 되는데...

따라서, 주어진 식은 (x, y가 실수이므로)
x=-2, y=-1 일 때
최솟값 3을 갖습니다.
식을 어케 이케 바꾸냐구요?
뭐... 잔머리 열심히 굴려야죠 ^-^// ;;;;;
요기로 가면 → www.gajok.co.kr/math.html
다른 글들도 편리하게 볼 수 있습니다.

'수학' 카테고리의 다른 글
| 식의 전개와 인수분해 (5) (0) | 2020.08.07 |
|---|---|
| 식의 전개와 인수분해 (4) (0) | 2020.08.06 |
| 식의 전개와 인수분해 (2) (0) | 2020.08.03 |
| 절댓값 (3) (0) | 2020.07.27 |
| 절댓값 (2) (0) | 2020.07.24 |