728x90
반응형
사차식중에
홀수차항(1차항, 3차항)은 없고
짝수차항(2차항, 4차항)과 상수항만 있는 식이 있습니다.
문제1)

뭐... 이 정도야
그냥 인수분해 하면 되죠 (치환 안해도 되는 거죠..? ;;;;;)

문제2)

이 식은
인수분해가 바로 되지 않습니다.
이럴 때는 식을 좀 변형시켜야 하는데
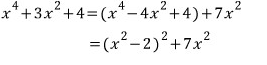
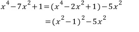
기준은 상수항 4입니다.
상수항 4를 생각해서
식을 이렇게 바꿔 인수분해 하면 됩니다.

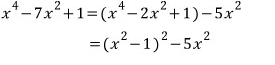
물론 상수항 4를 생각하면
식을 이렇게도 바꿀 수 있지만
인수분해는 되지 않습니다.

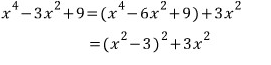
문제3)

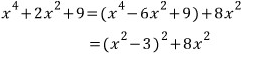
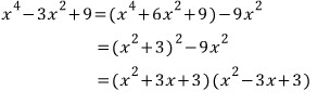
상수항 9를 생각해서
식을 이렇게 바꿔 인수분해 하면 됩니다.

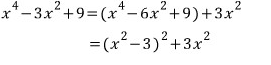
물론 상수항 9를 생각하면
식을 이렇게도 바꿀 수 있지만
인수분해는 되지 않습니다.

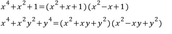
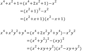
문제4)

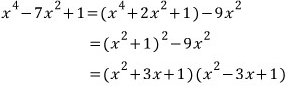
상수항 1을 생각해서
식을 이렇게 바꿔 인수분해 하면 됩니다.

물론 상수항 1을 생각하면
식을 이렇게도 바꿀 수 있지만
인수분해는 되지 않습니다.

문제5)

상수항 9를 생각해서
식을 이렇게 바꿔 인수분해 하면 됩니다.

물론 상수항 9를 생각하면
식을 이렇게도 바꿀 수 있지만
인수분해는 되지 않습니다.

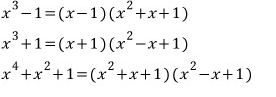
인수분해 공식 중에 이런 게 있죠

물론 당연히 외우고 있어야 할 공식이지만
사실 간단하게(?) 유도할 수 있습니다. 요렇게요...

PS.
공식 3개를
세트(?)로 외우면 편한 거 같아요~

대체 이게 뭔 세트냐구요?
글쎄요... ^-^// ;;;;;
요기로 가면 → www.gajok.co.kr/math.html
다른 글들도 편리하게 볼 수 있습니다.

728x90
반응형
'수학' 카테고리의 다른 글
| 식의 전개와 인수분해 (6) (0) | 2020.08.10 |
|---|---|
| 식의 전개와 인수분해 (5) (0) | 2020.08.07 |
| 식의 전개와 인수분해 (3) (0) | 2020.08.05 |
| 식의 전개와 인수분해 (2) (0) | 2020.08.03 |
| 절댓값 (3) (0) | 2020.07.27 |