문제1)

뭐... 걍 하면 되죠

근데
좀 다르게(?) 인수분해 해볼께요
주어진 식을 방정식으로 만들고

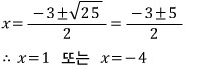
이 이차방정식의 근을
근의 공식을 이용해서 구해보면

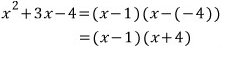
근이 1 또는 -4 이므로
주어진 식은 다음과 같이 인수분해됩니다.

사실 주어진 식을
이렇게 무식하게 인수분해 할 이유는 1도 없습니다.
걍 인수분해 되는데 말이죠.
하지만 문제2는 상황이 다릅니다.
문제2)

엄밀히 말해서
시험에 이런 문제가 나오면
답안지에는 '인수분해 안됨'이라고 적어햐 하는 것이 정답입니다.
수학에서 아무런 언급없이 인수분해를 하라는 것은
유리수 범위에서 하라는 의미지
실수범위까지 또는 허수범위까지 억지로(?) 인수분해 하라는 의미가 아닙니다.
그러므로 주어진 식은
유리수 범위에서는 인수분해가 되지 않기 때문에
답안지에는 인수분해가 안된다고 적으라는 말씀..!!
하지만 실제 시험 상황에서
답안지에 '인수분해 안됨'이라고 적는 것에 망설여지는 것 역시 사실입니다.
그렇게 때문에
반드시 손을 들고 질문을 해야합니다.
'선생님~ 어느 범위까지 인수분해 하라는 거예요~'라고...
결론은
문제를 이케 내면 안된다는 거... ;;;;;
말이 길어졌네요 ㅠ
살짝(?) 관심이 생기면 '방정식의 근' 참고요~
암튼
문제로 돌아가서 문제를 제대로 내면

바로 이 때
문제1의 무식한(?) 인수분해 방법이 쓰입니다.
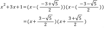
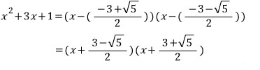
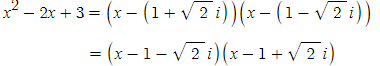
주어진 식을 방정식으로 만들고

이 이차방정식의 근을
근의 공식을 이용해서 구하면

따라서
주어진 식은 다음과 같이 인수분해 됩니다.

문제3)

주어진 식을 방정식으로 만들고

이 이차방정식의 근을
근의 공식(짝수공식)을 이용해서 구하면 → 짝수 공식은 '이차방정식의 해 (1)' 참고요~

따라서
주어진 식은 다음과 같이 인수분해 됩니다.

문제4)
3x²+x+1 을 허수범위에서 인수분해 하면?
주어진 식을 방정식으로 만들고
3x²+x+1=0
이 이차방정식의 근을
근의 공식을 이용해서 구하면

따라서
주어진 식은 다음과 같이 인수분해 됩니다.

▶ 수학 전체 목록 바로가기 → www.gajok.co.kr/math.html
'수학' 카테고리의 다른 글
| 식의 전개와 인수분해 (7) (0) | 2020.08.14 |
|---|---|
| 식의 전개와 인수분해 (6) (0) | 2020.08.10 |
| 식의 전개와 인수분해 (4) (0) | 2020.08.06 |
| 식의 전개와 인수분해 (3) (0) | 2020.08.05 |
| 식의 전개와 인수분해 (2) (0) | 2020.08.03 |