
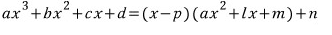
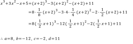
이런 3차식의 조립제법을 보면
식으로 바꿀 수 있죠..?! 이렇게

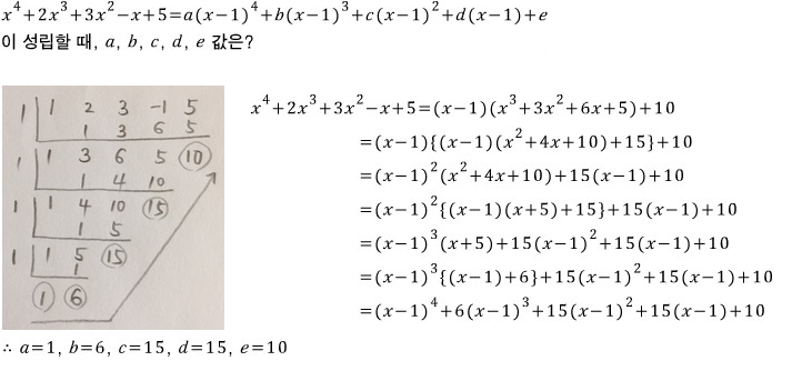
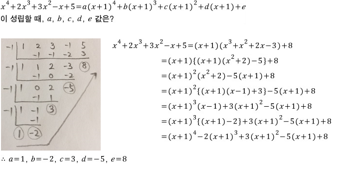
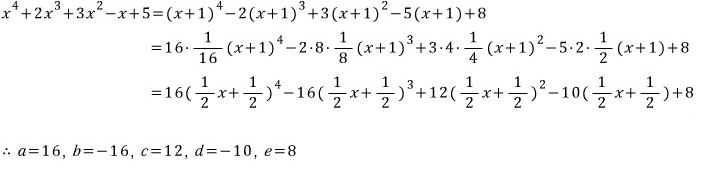
4차식도 한번 해보면

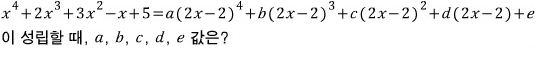
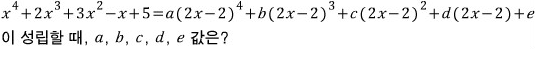
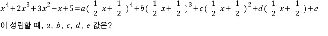
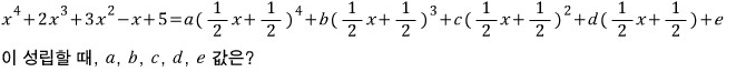
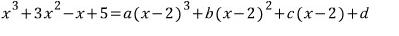
문제1)

멀쩡한 식을
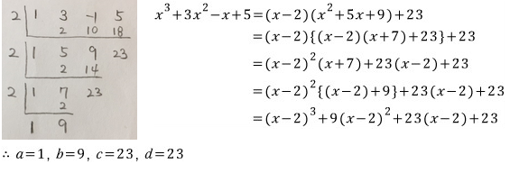
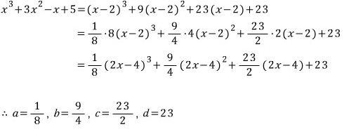
왜 (x-2)의 내림차순으로 정리하는지는 모르겠지만
문제에서 하라면 해야죠.. 뭐.. ;;;;;
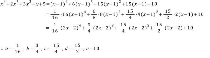
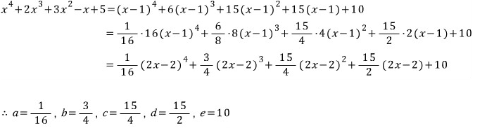
주어진 식

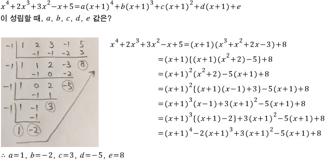
이번에는

마지막으로

이제 위에 나온 3개의 조립제법과 식을 하나로 모아보면

대부분의 풀이집을 보면
식은 나와 있지 않고 조립제법만 덩그러니 그려놓았죠
그래서 그런지
많은 학생들이 답은 잘 구하는데 왜 그런지는 모르는...
그런 문제 중의 하나인 것 같습니다. ㅠ
암튼 결론입니다.

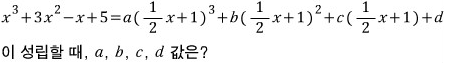
문제2)

문제3)

문제4)

문제5)

문제1과 똑같이 풀고
뒷정리(?)만 해주면 됩니다.

문제6)

역시 문제2와 똑같이 풀고
뒷정리하기..!!

문제7)

역시 문제3과 똑같이 풀고
뒷정리하기..!!

문제8)

역시 문제4와 똑같이 풀고
뒷정리하기..!!

PS.

이 문제를 푸는데
꼭 조립제법이 아니더라도 풀 수 있습니다.
쫌 무식하지만(?)
항등식에 나오는 수치대입법으로..!!
x=2 를 대입하면 23=d
x=3 을 대입하면 56=a+b+c+d
x=1 을 대입하면 8=-a+b-c+d
x=4 를 대입하면 113=8a+4b+2c+d
위의 연립방정식을 열심히 풀면 답이 나옵니다.
그닥 나쁘지 않은 풀이인데
풀이가 쫌 없어보인다(?) 싶어서 그런지
이렇게 풀어놓은 문제집은 한번도 본 적이 없습니다.
나름 좋은 풀이인데... ;;;;;
일차연립방정식, 이차연립방정식의 풀이는
다음 기회에 정리할께요~ ^-^//
요기로 가면 → www.gajok.co.kr/math.html
다른 글들도 편리하게 볼 수 있습니다.

'수학' 카테고리의 다른 글
| 식의 전개와 인수분해 (10) (0) | 2020.08.21 |
|---|---|
| 식의 전개와 인수분해 (9) (0) | 2020.08.19 |
| 식의 전개와 인수분해 (7) (0) | 2020.08.14 |
| 식의 전개와 인수분해 (6) (0) | 2020.08.10 |
| 식의 전개와 인수분해 (5) (0) | 2020.08.07 |