일단 복습부터
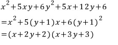
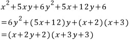
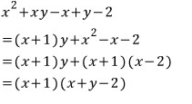
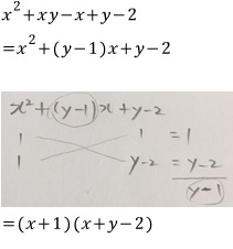
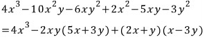
문제1)

x의 내림차순으로 정리해서
인수분해 해도 되고

y의 내림차순으로 정리해서
인수분해 해도 됩니다.

이제 이 정도쯤이야 → '식의 전개와 인수분해 (3)' 참고요~
여러분을 믿고 식을 쫌(?) 줄였습니다. ;;;;;
주어진 식을 보면

문자는 x, y 두 개가 있고
x의 최고차수도 2차고
y의 최고차수도 2차입니다.
최고차수가 같기 때문에
x의 내림차순으로 정리해서 인수분해 하든
y의 내림차순으로 정리해서 인수분해 하든
내 맘입니다.
물론 대부분은
x의 내림차순으로 정리해서 인수분해 하죠
우린 y보단 x에 더 많이 익숙해져 있거든요.
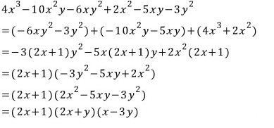
한문제 더 풀어보면
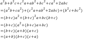
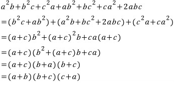
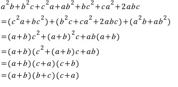
문제2)

문자는 a, b, c 세 개가 있고
최고차수가 2차로 모두 같기 때문에
a의 내림차순으로 정리해서
인수분해 해도 되고

b의 내림차순으로 정리해서
인수분해 해도 되고

c의 내림차순으로 정리해서
인수분해 해도 됩니다.

a의 내림차순으로 정리해서
인수분해 하는 학생들이 젤 많겠죠..?! ;;;;;
그럼 차수가 다를 때는
문제3)

문자는 x, y 두 개가 있고
x의 최고차수는 2차고
y의 최고차수는 1차입니다.
지금 이 문제는
낮은 차수의 문자
y의 내림차순으로 정리해도 인수분해가 되고

높은 차수의 문자
x의 내림차순으로 정리해도 인수분해가 되지만

모든 수학책에서는
낮은 차수의 문자의 내림차순으로 정리해서
인수분해 하라고 권장(거의 강권..!!)합니다.
지금 이 문제야 간단해서
낮은 차수의 문자의 내림차순으로 정리하든
높은 차수의 문자의 내림차순으로 정리하든
모두 인수분해가 되지만
대부분의(?) 문제는
낮은 차수의 문자의 내림차순으로 정리해야만
인수분해가 되고
높은 차수의 문자의 내림차순으로 정리하면
인수분해가 되지 않기 때문입니다.
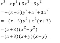
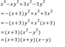
문제4)

문자는 x, y 두 개가 있고
x의 최고차수는 3차고
y의 최고차수는 2차입니다.
따라서
낮은 차수의 문자
y의 내림차순으로 정리해서 인수분해 해야 합니다.

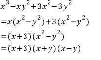
사실
차수가 낮니 높니
내림차순을 하니 마니
이런 거 묻지도 따지지도 않고
뛰어난 통찰력(?)으로
바로 인수분해 하는 학생들도 많습니다.
이렇게
바로 인수분해 해도 되고

자리를 살짝 바꿔서
인수분해 해도 됩니다. (결론적으로 y의 내림차순 꼴과 같지만)

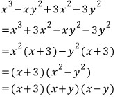
하지만 늘 그렇듯이
뛰어난 통찰력이 항상 통하는 건 아닙니다.
문제5)

수학의 기본 원리원칙에 따라서
무던하고 성실하게 공부하는 학생이라면
이런 문제에 아무런 고민을 하지 않습니다.
x는 최고차수가 3차고
y는 최고차수가 2차니까
y의 내림차순으로 정리해서 인수분해 하는 거구나
하고 인수분해를 시도합니다.

공부를 건성건성하거나
자신의 머리만 믿고 수학의 기본풀이를 소홀히 하는 학생들은
이렇게도 해보고

저렇게도 해보고

이리저리 헤맵니다. ㅠ
수학적인 머리가 있다는 건
큰 복이고 부모님께 감사할 일입니다.
하지만
그 좋은 머리도
기본에 충실한 꾸준한 노력이 뒷받침 되야 빛을 발하는 것이고
자신만의 창의적인 풀이라는 것도
다지고 다진 탄탄한 기본 위에서 비로소 나오는 것입니다.
요즘 너~무 마음에 와닿아서
외우고 있는 광고문구가 있습니다.
"성공의 반대말은 실패가 아닌 포기라는 것
끈기를 이길 수 있는 재능은 없다는 것
꾸준함이 쌓이면 넘을 수 없는 실력이 된다는 것
60년의 시간의 알려주었습니다.
계속하는 것이 힘이다." (KCC광고)
요기로 가면 → www.gajok.co.kr/math.html
다른 글들도 편리하게 볼 수 있습니다.

'수학' 카테고리의 다른 글
| 식의 전개와 인수분해 (9) (0) | 2020.08.19 |
|---|---|
| 식의 전개와 인수분해 (8) (0) | 2020.08.17 |
| 식의 전개와 인수분해 (6) (0) | 2020.08.10 |
| 식의 전개와 인수분해 (5) (0) | 2020.08.07 |
| 식의 전개와 인수분해 (4) (0) | 2020.08.06 |