728x90
반응형






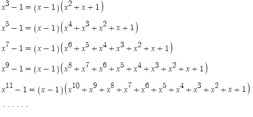
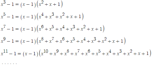
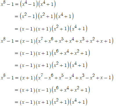
문제1)

풀이1)

많은 풀이집은 이렇게 풀어놨는데
대부분의 학생들은 이케 안 풀고
로피탈의 정리를 이용해서 풀죠
풀이2)
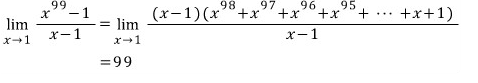
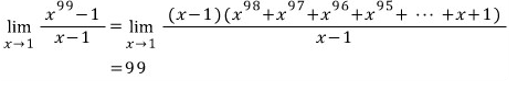
x→1 일 때
주어진 식의 분자, 분모 모두 0으로 가니까 (수렴하니까)
로피탈의 정리를 이용해서
분자와 분모를 각각 미분하면

대부분의 학생들이
로피탈의 정리에 너무 익숙해 있어서
풀이1은 잘 모르는 것 같습니다. 중요한 풀이인데... ㅠ
로피탈의 정리로 풀 땐 풀더라도
풀이1도 꼭 알아두세요~
에궁...
오늘 이 얘기를 하려고 한 게 아닌데
암튼 마지막으로
걍 인수분해 해서 풀어보면
풀이3)

풀이가 좀 그런가요?
저는 아주 깔끔하고 이쁜데 ;;
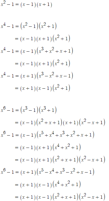
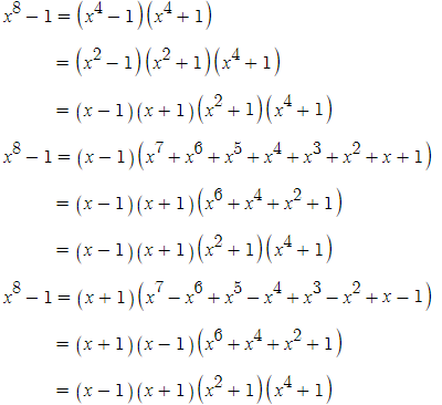
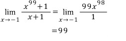
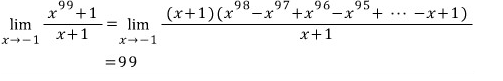
문제2)

풀이1)

풀이2)
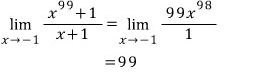
x→-1 일 때
주어진 식의 분자, 분모 모두 0으로 가니까 (수렴하니까)
로피탈의 정리를 이용해서
분자와 분모를 각각 미분하면

풀이3)

이 글의 목적은 풀이3입니다~ ^-^//
▶ 수학 전체 목록 바로가기 → www.gajok.co.kr/math.html
728x90
반응형
'수학' 카테고리의 다른 글
| 식의 전개와 인수분해 (11) (0) | 2020.08.24 |
|---|---|
| 식의 전개와 인수분해 (10) (0) | 2020.08.21 |
| 식의 전개와 인수분해 (8) (0) | 2020.08.17 |
| 식의 전개와 인수분해 (7) (0) | 2020.08.14 |
| 식의 전개와 인수분해 (6) (0) | 2020.08.10 |