
풀이1)
(x+1)(x+2) 를 전개하면
항이 2²=4개가 나오고 → (x·x)+(x·2)+(1·x)+(1·2)
그 중에 1차항 x는 2개입니다. → (x·2), (1·x)
∴ x의 계수는 3 → 2x+x = (2+1)x = 3x
(x+1)(x+2)(x+3) 을 전개하면
항이 2³=8개가 나오고 → (x·x·x)+(x·x·3)+(x·2·x)+(x·2·3)+(1·x·x)+(1·x·3)+(1·2·x)+(1·2·3)
그 중에 2차항 x²은 3개입니다. → (x·x·3), (x·2·x), (1·x·x)
∴ x²의 계수는 6 → 3x²+2x²+x² = (3+2+1)x² = 6x²
(x+1)(x+2)(x+3)(x+4) 를 전개하면
항이 2⁴=16개가 나오고
그 중에 3차항 x³은 4개입니다. → (x·x·x·4), (x·x·3·x), (x·2·x·x), (1·x·x·x)
∴ x³의 계수는 10 → 4x³+3x³+2x³+x³ = (4+3+2+1)x³ = 10x³
이런 방식으로 생각하면
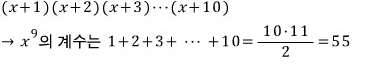
(x+1)(x+2)(x+3)(x+4)···(x+10) 을 전개하면
항이 2^10=1024개가 나오고
그 중에 9차항 x^9은 10개입니다. → (x·x·x·x·x·x·x·x·x·10), (x·x·x·x·x·x·x·x·9·x), ··· , (1·x·x·x·x·x·x·x·x·x)
∴ x^9의 계수는 55

풀이2)
걍 하나씩 전개하면서 규칙을 찾습니다.






▶ 수학 전체 목록 바로가기 → www.gajok.co.kr/math.html
'수학' 카테고리의 다른 글
| 방정식의 근 (0) | 2020.08.31 |
|---|---|
| 식의 전개와 인수분해 (11) (0) | 2020.08.24 |
| 식의 전개와 인수분해 (9) (0) | 2020.08.19 |
| 식의 전개와 인수분해 (8) (0) | 2020.08.17 |
| 식의 전개와 인수분해 (7) (0) | 2020.08.14 |