고차식(3차식 이상)을 인수분해 할 때는
1 대입해보고, -1 대입해보고
2 대입해보고, -2 대입해보고
3 대입해보고, -3 대입해보면서
대입했을 때
식의 값이 0이 되는 것을 찾습니다.
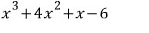
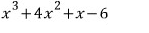
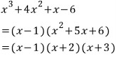
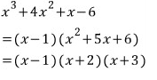
예를 들어

먼저 1을 대입해보면
1+4+1-6 = 0
처음부터 바로 0이 나오네요.
찾았으면
그 다음은 조립제법

이제 식을 써보면

뭐...
기본적인(?) 고차식의
기본적인(?) 인수분해 방식입니다.
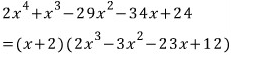
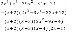
4차식으로 하나 더 해보면

1을 대입해보면
2+1-29-34+24 ≠ 0
-1을 대입해보면
2-1-29+34+24 ≠ 0
2를 대입해보면
32+8-116-68+24 ≠ 0
-2를 대입해보면
32-8-116+68+24 = 0
드뎌 0이 나왔습니다..!!
(연습을 위해서 일부러 숫자를 이상하게 만들었으니까
이해해 주세요 ;;;;;)
행여라도 더하기 빼기를 잘못해서
-2를 대입했을 때도 0이 나오지 않으면
3, -3, 4, -4 계속해서 대입해 봐야 합니다.
그러니까 더하기 빼기 신경쓰시라는 말씀..!!
암튼... 이제 조립제법

마지막에 0이 나와야 된다는 거... 다 알죠?
0이 나오지 않으면 뭔가 잘못된 겁니다.
식을 써보면

참고로... 더하기 빼기가 머리 아프다?
그럼 바로 조립제법으로 찾아도 됩니다. 요렇게요

사실 이것도 더하기 빼기지만
처음 방식보다는 좀 편한 것 같습니다.
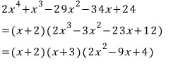
이 방법이든 저 방법이든 여기까지 왔습니다.

3차식이 나왔네요.

그럼 뭐...
인수분해가 되는지 또 확인해 봐야죠
-3을 대입하면 0이 나오네요.
-54-27+69+12 = 0
조립제법을 하면
(새로 쓰지 말고 아까 사용한 조립제법에 이어서 쓰세요~ 요렇게)

식을 써보면

마지막으로 2차식을 인수분해하면
(설마 2차식마저도 조립제법으로 인수분해하는 건 아니죠..?!
물론 해도 상관은 없지만...)

다항식이 모두 이런 식으로 인수분해가 되면 좋겠는데
문제는 이런 식으로 인수분해가 되지 않는 다항식이 존재한다는 거..!!

1, -1, 2, -2, 3, -3, 4, -4, ...
이 식에 어떤 수를 대입해봐도 0이 나오지 않습니다. ㅠ
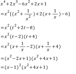
이렇게 생긴 다항식 (가운데 항을 중심으로 계수들이 대칭인 다항식. 정확히 말하면
계수의 절댓값이 대칭인 다항식) 은 완전히 다른 방식으로 인수분해합니다.
그래도 다행(?)인 건 방법이 다를 뿐... 어렵지는 않습니다.
문제집에도 자주 등장하구요

너무 자세히 적다보니
식이 길어졌네요 ;;;;;
한문제 더 풀어볼까요

가끔 문제집을 보다보면
이상한(?) 문제가 등장합니다.

뭐가 이상하냐구요?
사실 이 문제는 조립제법으로도 인수분해가 되거든요

의도한 건지 아닌지는 모르겠지만
여하튼 이런 문제가 걸리면 조립제법으로도 인수분해가 가능하다는 거..!!
또 다른 유형의 식이 등장합니다.

이 식 역시
1, -1, 2, -2, 3, -3, 4, -4, ...
어떤 수를 대입해 봐도 0이 나오지 않습니다. ㅠ
사실 우리가
1, -1, 2, -2, 3, -3, 4, -4, ...
를 대입한다는 것은
주어진 식이
(x-1), (x+1), (x-2), (x+2), (x-3), (x+3), (x-4), (x+4), ...
이런 인수를 가지고 있지 않을까 예상하고 (찍어서)
대입해보는 것입니다.
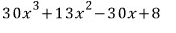
하지만 주어진 식이
이런 인수들을 가지고 있지 않으면 어떻해야 할까요?
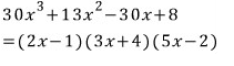
위에 주어진 식은
이렇게 인수분해가 되거든요

어떻게 이렇게 인수분해 하냐구요?
잠시만요... 그건 쫌 있다 얘기하고
인수분해 된 식의
3개의 인수를 가만히 보면
(2x-1), (3x+4), (5x-2)
일차항의 계수 2, 3, 5는
주어진 식의 (3차항의 계수 30의 약수)중 일부이고
상수항 1, 4, 2는 (부호는 일단 무시)
주어진 식의 (상수항 8의 약수)중 일부입니다.
그리고 주어진 식을 0으로 만드는 값은

그렇기 때문에 만일 주어진 식

30의 약수 = 1, 2, 3, 5, 6, 10, 15, 30
8의 약수 = 1, 2, 4, 8
이므로

이 중에 인수를 가질 수 밖에 없은 것입니다.
따라서
주어진 식을 인수분해하려면

이 숫자들을 대입해서
식의 값이 0이 되는 것을 찾아야 하는 것입니다.
좀 이쁘게(?) 표현해보면

이런 거 생각하기 귀찮고 머리아프니까
얻어걸리기를(?) 바라며 걍
1, -1, 2, -2, 3, -3, 4, -4, ...
를 대입해 보는 것입니다.
사실 이 방법을 안다손 치더라도
이 많은 숫자들을 일일이 대입해 본다는 건
아주 번거롭고 시간이 많이 걸리는 일입니다.
그래도 어떡하겠어요... 인수분해하라는데
하나하나 일일이 대입해 봐야죠
저는 바로

이제 조립제법을 해보면

이런 게 있으니까
인수분해를 하긴 했는데
너무 억지로 이해하려고 하지 마세요
이런 건 셤에 안나와요~
지적호기심이 있는 극소수(?)의 학생들을 위해서
걍 한번 적어 본 것임다~ ^-^//
▶ 수학 전체 목록 바로가기 → www.gajok.co.kr/math.html
'수학' 카테고리의 다른 글
| 이차방정식의 해 (1) (0) | 2020.09.01 |
|---|---|
| 방정식의 근 (0) | 2020.08.31 |
| 식의 전개와 인수분해 (10) (0) | 2020.08.21 |
| 식의 전개와 인수분해 (9) (0) | 2020.08.19 |
| 식의 전개와 인수분해 (8) (0) | 2020.08.17 |