728x90
반응형
y축 대칭인 함수는

보통 이렇게 표현하죠

예를 들어
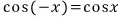
코사인함수는 우함수이기 때문에

마아너스는 걍 없애주고 구하면 됩니다.

원점 대칭인 함수는

보통 이렇게 표현하죠

예를 들어
사인함수는 기함수이기 때문에

마이너스는 밖으로 빼고 구하면 됩니다.






사실
당연한(?) 이런 공식이 있긴 하죠.
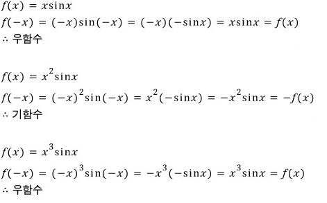
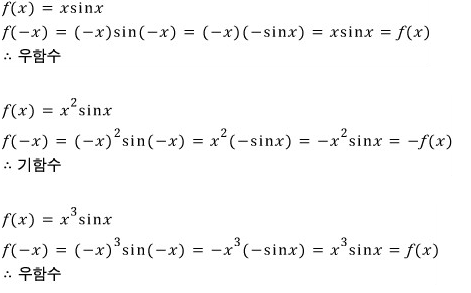
우함수 x 우함수 = 우함수
기함수 x 우함수 = 기함수
기함수 x 기함수 = 우함수
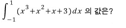
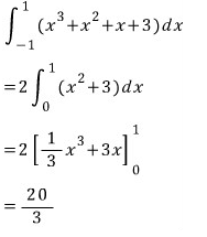
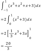
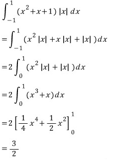
문제1)

기함수는 버리고
우함수는 2배..!!

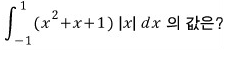
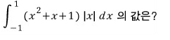
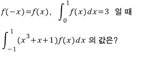
문제2)

기함수는 버리고
우함수는 2배..!!

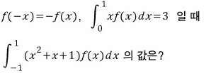
문제3)

기함수는 버리고
우함수는 2배..!!

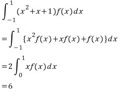
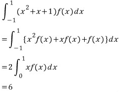
문제4)

기함수는 버리고
우함수는 2배..!!

요기로 가면 → www.gajok.co.kr/math.html
다른 글들도 편리하게 볼 수 있습니다.

728x90
반응형
'수학' 카테고리의 다른 글
| 접선의 방정식 (2) (0) | 2019.06.24 |
|---|---|
| 음함수의 미분 (0) | 2019.06.19 |
| 접선의 방정식 (1) (0) | 2019.06.17 |
| 합성함수의 미분 (0) | 2019.06.13 |
| 평균·분산·표준편차 (1) (1) | 2019.06.13 |