728x90
반응형

유도해 보면
방법1)

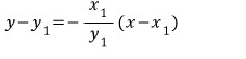
원점과 접점을 이은 선분의 기울기가

접선의 기울기는

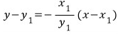
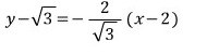
그러므로 접선의 방정식은

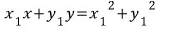
정리하면

그리고

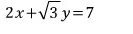
따라서
우리가 구하려는 접선의 방정식은

방법2)

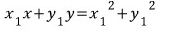
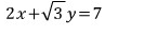
그러므로 접선의 방정식은

방법1과 같은 방식으로

방법2의
자세한(?) 내용은 '합성함수의 미분 (2)'를 참고하세요~
문제)

풀이1)
공식으로

풀이2)

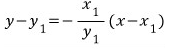
원점과 접점을 이은 선분의 기울기가

접선의 기울기는

그러므로 접선의 방정식은

정리하면

풀이3)

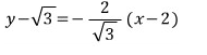
그러므로 접선의 방정식은

정리하면

요기로 가면 → www.gajok.co.kr/math.html
다른 글들도 편리하게 볼 수 있습니다.

728x90
반응형
'수학' 카테고리의 다른 글
| 두 직선의 교점을 지나는 직선의 방정식 (2) (1) | 2020.05.08 |
|---|---|
| 두 직선의 교점을 지나는 직선의 방정식 (1) (0) | 2020.05.08 |
| 음함수의 미분 (0) | 2019.06.19 |
| 접선의 방정식 (1) (0) | 2019.06.17 |
| 합성함수의 미분 (0) | 2019.06.13 |