728x90
반응형
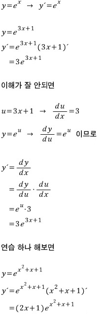
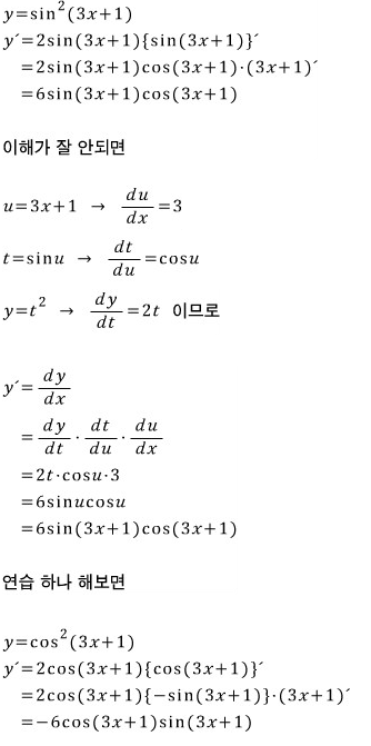
예1)

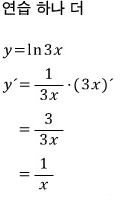
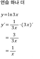
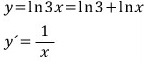
예2)

예3)

푸는 것보다
식을 쓰는 게 더 어렵네요 ;;;;;
예4)


합성함수의 미분이 익숙하지 않아서
이 문제를 이렇게 미분하는 학생들이 있는데

뭐.. 나름 답은 잘 나오지만
그래도 합성함수의 미분에 얼른 익숙해지세요~
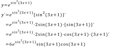
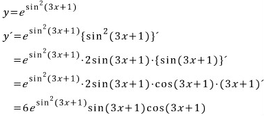
예5)

예6)

이제 어느 정도 감이 잡히죠..?!
그래도 아래 예를 보면 또 헷갈릴듯요 ㅠ
예7)

예8)

예9)

예10)

이런 문제까지야 나오지 않겠지만
그래도 시작을 했으니 끝까지 가봅시다~
예11)

예12)

요기로 가면 → www.gajok.co.kr/math.html
다른 글들도 편리하게 볼 수 있습니다.

728x90
반응형
'수학' 카테고리의 다른 글
| 접선의 방정식 (2) (0) | 2019.06.24 |
|---|---|
| 음함수의 미분 (0) | 2019.06.19 |
| 접선의 방정식 (1) (0) | 2019.06.17 |
| 함수 (6) (0) | 2019.06.13 |
| 평균·분산·표준편차 (1) (1) | 2019.06.13 |