접선의 방정식을 구할 때는
하나만 확인하면 됩니다.
"주어진 점이 곡선 위의 점이냐, 아니냐"

먼저
주어진 점이 곡선 위의 점일 때는
미분해서(도함수 구해서) 기울기 구하고
그냥 직선의 방정식을 구하면 됩니다.
간단한 함수로 한번 구해보면
문제1)

문제에서 곡선 위의 점이라고는 했지만
그래도 주어진 점을 대입해서
곡선 위의 점인지 아닌지
확인하는 습관을 들이세요~
곡선 위의 점인지 확인이 됐으면

미분하고

기울기를 구합니다.
x=2 에서의 접선의 기울기(미분계수)는
2·2=4
따라서
우리가 구하려는 접선은
기울기가 4이고
점(2, 4)를 지나는 직선입니다.

주어진 점이 곡선 위의 점이 아닐 때는
쪼금 복잡(?)합니다.
역시 간단한 함수로 한번 구해보면
문제2)

혹시 모르니까
일단 곡선 위의 점이 아니라는 것부터 확인합니다.

확인했으면
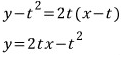
곡선 위에 임의로 점을 하나 잡고

접선의 방정식을 구합니다.

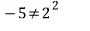
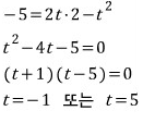
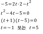
바로 이 접선이 (2, -5)를 지나야 합니다.
그래야 (2, -5)에서 그은 접선이 되니까요..!!

대입해서 t값을 구하면

t값이 두 개가 나오네요.
그럼 접선을 두 개 그을 수 있다는 소리겠죠.. 뭐.. 요렇게

암튼, -1과 5를

정리하면 이런 상황입니다.

여러분의 이해를 위해서(진심 ;;;;;)
간단한 2차 함수를 예로 들었지만
접선의 방정식을 구하는 이 간단한..!! 원리(?)는
유리함수, 무리함수, 지수함수, 로그함수, 삼각함수 등등 모든 함수에 적용됩니다.
접선의 방정식을 못구하겠다구요? 그건 아마도
미분이 어려워서라기 보다는
수식이 복잡해서
미분을 못해서
아님 미분까진 다 했는데 방정식을 못풀어서
인 경우가 훨씬 많을 겁니다.
나는 아니라구요?
그럼 뭐.. 다행이구요.. ;;;;;
평소에 수식 연습 많이 해두세요~
나중에 다 피가 되고 살이 된답니다..!!
PS1.
문제2에서
점(2, -5)를 지나는 직선은

구해보면

위에서 구한 식

결과가 똑같이 나옵니다.
그런데 이런 풀이는
문제에서 주어진 식이 2차식이니까..!! 가능한 거지
3차식, 4차식이면 적용이 안됩니다. ㅠ
그러니 이렇게
이용이 제한적인 풀이는 무시하시고
미분을 이용한 풀이에 얼른 익숙해 지시길 바랍니다~
PS2.
이런 문제는 나오지 않지만
그래도 한번 해보겠슴다.
문제3)

일단 곡선 위의 점은 아니고

t값이 존재하지 않습니다.
즉, (1, 3)에서는
이 곡선에 접선을 그을 수 없다는 소리입니다.
사실 (1, 3)은
곡선 안쪽에 있거든요.. 요렇게..!!

요기로 가면 → www.gajok.co.kr/math.html
다른 글들도 편리하게 볼 수 있습니다.

'수학' 카테고리의 다른 글
| 접선의 방정식 (2) (0) | 2019.06.24 |
|---|---|
| 음함수의 미분 (0) | 2019.06.19 |
| 합성함수의 미분 (0) | 2019.06.13 |
| 함수 (6) (0) | 2019.06.13 |
| 평균·분산·표준편차 (1) (1) | 2019.06.13 |