홀수차항 (1차항, 3차항)은 없고
짝수차항 (2차항, 4차항)과 상수항만 있는... 좀 특수한
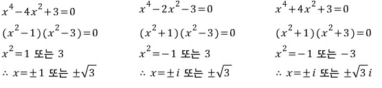
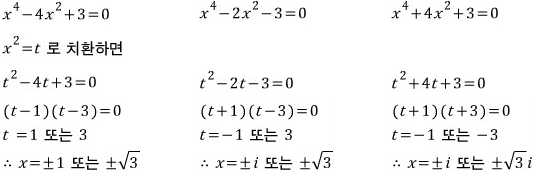
사차방정식 한번 풀어볼께요

이렇게 풀면 되지만
설명을 위해 치환으로 한번 더 풀어보겠습니다.

여기서 하고 싶은 말은

반대로 얘기하면

이해되는 거죠..?! ;;;;;
문제 풀어볼께요~

세 문제 모두 바로 앞의 글 '이차방정식의 해 (3)'에서 푼 문제입니다.
그래도 다시 한번 풀어볼께요~
풀이도 2가지가 있었는데 (기억나죠..?!)
여기서는 두번째 풀이로

세 번째 경우(서로 다른 네 허근을 가지려면) 답이 추가되어야 할 것 같습니다.
t²+kt-k+3=0 이 서로 다른 두 음의 근을 가지면
x⁴+kx² -k+3=0 이 서로 다른 네 허근을 갖는 것은 맞는데
역으로
x⁴+kx² -k+3=0 이 서로 다른 네 허근을 가지는 경우는
t²+kt-k+3=0 이
i) 서로 다른 두 음의 근을 가지는 경우 뿐만 아니라

2<k<3 (위의 풀이에서 나온 답)
ii) 축<0, D<0 인 경우

-k/2<0 → k>0
D<0 → -6<k<2
∴ 0<k<2
iii) 축>0, D<0 인 경우가 있습니다.

-k/2>0 → k<0
D<0 → -6<k<2
∴ -6<k<0
따라서, 최종답은
2<k<3 또는 0<k<2 또는 -6<k<0 입니다.
일반화 시켜보면
ax⁴+bx²+c=0 이 허근 4개를 가지려면
at²+bt+c=0 은 두 근이 모두 음수이거나 D<0 이면 됩니다.
문제1)
방정식 x⁴+4x²+a+1=0 이 실근을 갖지 않도록
실수 a의 값의 범위를 구하면?
풀이)
f(t)=t²+4t+a+1 라 놓으면
f(t)가 두 음의 근을 가지거나 허근(D<0)을 가지면 됩니다.
축(꼭지점의 x좌표) -4/2=-2<0 이므로
f(0)>0 이것만 만족하면 됩니다.

f(0)=a+1>0 → a>-1
▶ 수학 전체 목록 바로가기 → www.gajok.co.kr/math.html
'수학' 카테고리의 다른 글
| 이차방정식의 해 (6) (0) | 2020.09.16 |
|---|---|
| 이차방정식의 해 (5) (0) | 2020.09.11 |
| 이차방정식의 해 (3) (0) | 2020.09.07 |
| 이차방정식의 해 (2) (0) | 2020.09.03 |
| 이차방정식의 해 (1) (0) | 2020.09.01 |