728x90
반응형
잠깐
사전준비 좀 하고 들어가겠습니다.

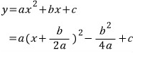
완전제곱식으로 고쳐볼까요

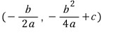
따라서, 꼭지점의 좌표는

근데, 문제 나올 때마다
이렇게 구하려면 귀찮으니까
꼭지점의 y좌표는
그렇다 치더라도
꼭지점의 x좌표

하나 더...
"이차방정식이 서로 다른 두 근을 갖는다"고 하면
판별식이 0보다 커야 하고 (D>0)
서로 다르다는 말이 없이 그냥
"이차방정식이 두 근을 갖는다"고 하면
판별식이 0보다 크거나 같아야 합니다. (D≥0)
왜냐면
중근도 근이 2개니까요... 서로 같은 두 근..!! ('방정식의 근' 참고요~)
이 정도로 하고
본론으로 들어갑니다~

문제1)

이렇게 되려면

먼저, 판별식

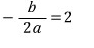
다음으로, 꼭지점의 x좌표

걍 2보다 크니까
신경 안써도 되구요
마지막으로

따라서, 최종답은

문제2)

이렇게 되려면

판별식

(이차부등식의 풀이는 '이차부등식의 해 (1)' 참고요~)
꼭지점의 x좌표

따라서, 최종답은

문제3)

이렇게 되려면

더 할 거 없이... 답입니다..!!
문제4)

이렇게 되려면

판별식

꼭지점의 x좌표

1과 4사이에 있으니까 (1<2<4)
신경 안써도 됩니다.

따라서, 최종답은

'이차방정식의 해' 이야기는
쭈욱~ 계속 됩니다~ ^-^//
▶ 수학 전체 목록 바로가기 → www.gajok.co.kr/math.html
728x90
반응형
'수학' 카테고리의 다른 글
| 이차방정식의 해 (4) (0) | 2020.09.09 |
|---|---|
| 이차방정식의 해 (3) (0) | 2020.09.07 |
| 이차방정식의 해 (1) (0) | 2020.09.01 |
| 방정식의 근 (0) | 2020.08.31 |
| 식의 전개와 인수분해 (11) (0) | 2020.08.24 |