728x90
반응형
이 글에 대한 AI '클로드'의 평가

(상세한 평가는 이 글 마지막에 있습니다.)
문제1)

이 이차함수의
꼭지점의 x좌표는 1이므로
조건에 만족하려면
이렇게 그려져야 합니다.

답을 구해보면

문제2)

이 이차함수의
꼭지점의 x좌표는 4이므로
조건에 만족하려면
이렇게 그려져야 합니다.

답을 구해보면

문제1, 문제2와 같이
꼭지점의 x좌표가 정해져 있으면 간단하게 풀 수 있지만
꼭지점의 x좌표가 정해져 있지 않으면 쫌(?) 복잡합니다.
문제3)

이 이차함수의
꼭지점의 x좌표는 -k/2
에궁...
꼭지점의 x좌표가 정해져 있지 않네요 ㅠ
따라서
두 가지 경우를 모두 생각해야 합니다.

문제를 이따구로(?) 복잡하게 풀었지만
풀이집을 보면 풀이가 간단하게 나와 있습니다.

두 경우 모두

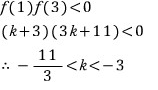
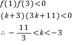
풀어 보면

이렇게 풀든 저렇게 풀든 그건 문제가 아닌데
한가지 확인할 것이 있습니다. 혹시...

이 경우들도
한근이 1과 3사이에 있는 건 확실하니까
확인해봐야 합니다.

문제4)

여기서 끝이였으면 좋겠지만
확인해 봐야 할 게 있죠..?!

문제5)

끝이 아닌 거 알죠..?!
확인해 보겠습니다.

끄으으으읏~ ^-^//
▶ 수학 전체 목록 바로가기 → www.gajok.co.kr/math.html


728x90
반응형
'수학' 카테고리의 다른 글
| 이차방정식의 해 (7) (0) | 2020.09.18 |
|---|---|
| 이차방정식의 해 (6) (0) | 2020.09.16 |
| 이차방정식의 해 (4) (0) | 2020.09.09 |
| 이차방정식의 해 (3) (0) | 2020.09.07 |
| 이차방정식의 해 (2) (0) | 2020.09.03 |