728x90
반응형
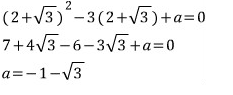
문제1)

a는 두 근의 곱이므로

이렇게 푸신 분... 손들어 보세요~
틀리셨습니다..!! 사실

두 근의 합은

방정식

따라서, 이 문제는
그냥 대입해서 풀어야 합니다.

이차방정식

라고 말할 수 있으려면
a, b, c 모두 유리수여야 합니다.
a, b, c 중
하나라도 유리수가 아니면

라고 말할 수 없습니다..!!
간단한 문제로
한번 확인해 볼까요

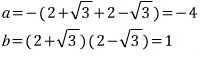
문제2)

a, b가 유리수라고 했으니까

따라서

물론 대입해서 풀어도 아무런 문제가 없지만
유리수라고 했는데 굳이 힘들게... ;;;;;

허근에서도 마찬가지입니다.
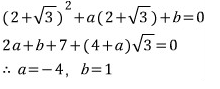
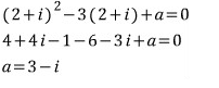
문제3)

a는 두 근의 곱이므로

이렇게 풀면
틀리는 거 알죠..?!

두 근의 합은

방정식

따라서, 이 문제 역시
그냥 대입해서 풀어야 합니다.

이차방정식

라고 말할 수 있으려면
a, b, c 모두 실수여야 합니다.
a, b, c 중
하나라도 실수가 아니면

라고 말할 수 없습니다..!!
확인해 봐야죠

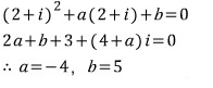
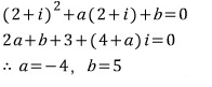
문제4)

a, b가 실수라고 했으니까

따라서

물론 대입해서 풀어도 아무런 문제가 없지만
실수라고 했는데 굳이 힘들게... ;;;;;

수학문제는 잘 읽어야 합니다.
그러려니 하고 대충 읽으면 출제자에게 바로 낚입니다. ^-^// ;;;;;
▶ 수학 전체 목록 바로가기 → www.gajok.co.kr/math.html
728x90
반응형
'수학' 카테고리의 다른 글
| 이차방정식의 해 (8) (0) | 2020.09.23 |
|---|---|
| 이차방정식의 해 (7) (0) | 2020.09.18 |
| 이차방정식의 해 (5) (0) | 2020.09.11 |
| 이차방정식의 해 (4) (0) | 2020.09.09 |
| 이차방정식의 해 (3) (0) | 2020.09.07 |