이전 글에서도 이야기했던 것 같은데
한번 더 하고 시작할께요~
2와 5사이의 거리는
(5-2)를 해서 3이라고 하지
(2-5)를 해서 -3이라고 하지 않습니다.
큰 수에서 작은 수를 빼줘야 한다는 말씀..!!
그럼
a와 b사이의 거리는?
a가 큰지, b가 큰지
알 수 없을 때는 절댓값을 씌우죠. 이렇게

물론

하나 더...
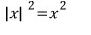
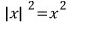
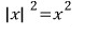
어떤 숫자든 (양수든 음수든)
절댓값해서 제곱하나 그냥 제곱하나
그 값은 같습니다.

그러므로

요정도로 하고
이제 본론으로 들어갑니다~
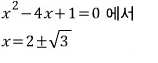
문제1)

풀이1)
x절편을 찾으면 되겠네요
x절편을 찾으려면
y에 0을 대입하면 되고... (그럼 이차방정식이 되죠)

그래프도 그려볼까요

계산할 것도 없이
두 점 사이의 거리는 2입니다.
풀이2)
이차함수의 그래프가 x축과 만나는 두 점은
y에 0을 대입해서 나온 이차방정식의 두 근입니다.
이해되나요?
다시 한번 얘기해보면

따라서

이렇게까지 얘기했는데 이해가 안된다면
제 책임이 아니고 전적으로 여러분 책임입니다. ;;;;;
이제 문제를 풀어보면

풀이1, 풀이2 중
어떤 풀이가 더 맘에 드나요?
문제2)

풀이1)
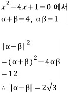
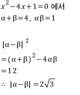
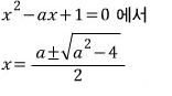
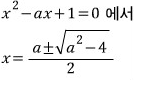
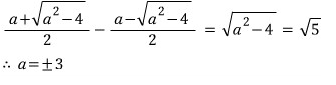
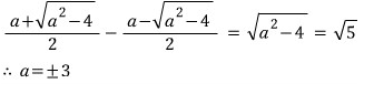
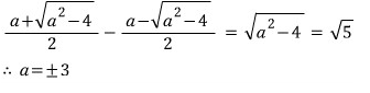
x절편을 구하면

따라서
x축과 만나는 두 점 사이의 거리는

풀이2)

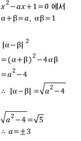
이번에는
어떤 풀이가 더 맘에 드나요?
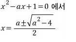
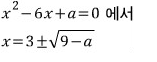
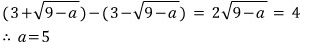
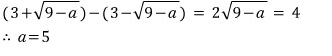
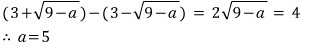
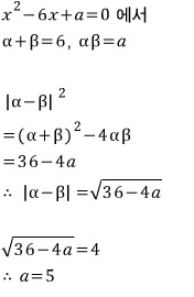
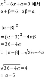
문제3)

풀이1)
x절편을 구하면

따라서
x축과 만나는 두 점 사이의 거리는

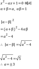
풀이2)

이번에는 또
어떤 풀이가 더 맘에 드나요?
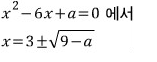
문제4)

풀이1)
x절편을 구하면

따라서
x축과 만나는 두 점 사이의 거리는

풀이2)

이번에는 또또
어떤 풀이가 더 맘에 드나요?
풀이의 선택은
여러분의 몫입니다. ^-^//
PS.
문제1에서

나머지 문제들도
다 마찬가지임다~
▶ 수학 전체 목록 바로가기 → www.gajok.co.kr/math.html
'수학' 카테고리의 다른 글
| 이차방정식의 해 (9) (0) | 2020.10.01 |
|---|---|
| 이차방정식의 해 (8) (0) | 2020.09.23 |
| 이차방정식의 해 (6) (0) | 2020.09.16 |
| 이차방정식의 해 (5) (0) | 2020.09.11 |
| 이차방정식의 해 (4) (0) | 2020.09.09 |