우리가 수학문제에서

우리 머리 속에 얼른 떠오르는 건
두 근의 합과 곱입니다.

뭐... 사실
합과 곱만 있으면 대부분의 문제는 해결됩니다.
근데
가끔 귀찮은 문제가 나타납니다.
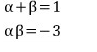
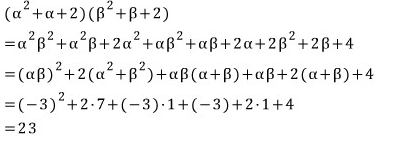
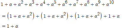
문제1)

우리가 아는 건

딱히 방법이...
전개하죠.. 뭐.. ㅠ
일단
제곱의 합부터 구해놓고

구하긴 구했는데
좀 찜찜합니다. ;;
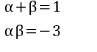
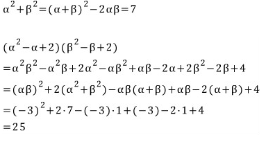
제대로(?) 풀어볼까요..?!

정리하면

문제야 얼마든지 만들 수 있죠.. 뭐..
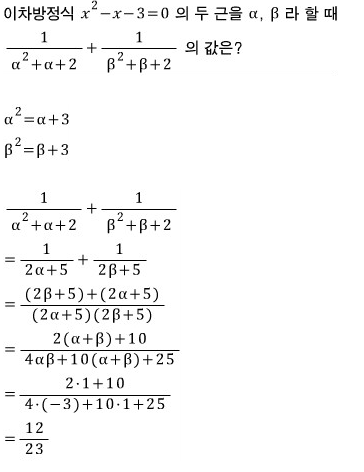
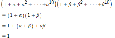
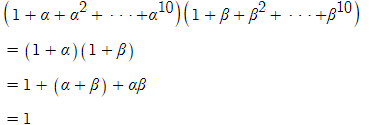
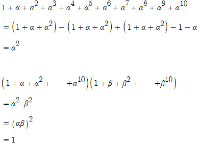
문제2)

문제3)

아래 문제4, 5, 6 같은 건
문제집에서 본 적이 없는데 그래도 혹시나... 풀어볼께요~
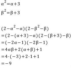
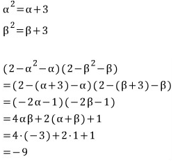
문제4)

에궁...
부호가 바뀌어 있네요 ㅠ
이 때는 이 식을

요렇게 바꿔서 대입합니다.

사실 이런 풀이를 모른다고 해서
문제를 못푸는 건 아닙니다.
우리에겐 (문제1에서 풀었던 것처럼)
'전개'라고 하는 막강한 풀이방법이 있으니까요

그래도
이런 방법을 알아두는 게 편하긴 편하겠죠..?! ;;
문제5)

역시
부호가 살짝 바뀌어 있습니다.

문제6)

아래 문제7과 같은 문제는 나올 리가 없지만
혹시라도 출제자가 실수로... ;;
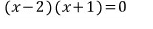
문제7)

헐... 인수분해가 됩니다..!!

두 근은 2와 -1
풀이고 뭐고 없이
걍 대입합니다.

말씀드렸듯이
이런 문제는 나올 리가 없겠죠..?! ;;
문제8)

α+β=-1
αβ=1
α²+α+1=0
β²+β+1=0
이 문제는 위의 4개의 식만으로는 해결될 것 같지 않습니다. ㅠ
뭔가 새로운 식(조건)이 나와야 할 것 같은데...
낯익은(?) 식이 있으니까 세제곱을 한 번 만들어 볼까요.
(α-1)(α²+α+1)=0 → α³=1

이제 문제가 풀릴 듯요.

문제9)

α+β=1
αβ=1
α²-α+1=0
β²-β+1=0
문제8과 마찬가지로 세제곱을 만들어 보면
(α+1)(α²-α+1)=0 → α³=-1
이번에는 세제곱이 -1이네요.

문제10)

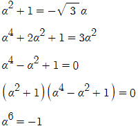
α+β=-√3
αβ=1
α²+√3α+1=0
β²+√3β+1=0
아... 이번에는 어떤 식을 만들어야 할까요.
루트를 넘겨서 제곱이나 한 번 해보죠... 뭐... ;;

와우~ 여섯제곱이 -1이 나오네요.

문제11)
이차방정식 x²-3x+1=0 의 두 근을 α-2, β+5 라 할 때
(α-4)(β+3) 의 값은?
α-2=a → α=a+2
β+5=b → β=b-5
로 놓고, 문제를 a, b로 바꿉니다.
이차방정식 x²-3x+1=0 의 두 근을 a, b라 할 때
(a-2)(b-2) 의 값은?
그럼 문제가 쉽게 풀립니다.
a+b=3, ab=1 이므로
(a-2)(b-2)=ab-2(a+b)+4=-1
문제12)
삼차방정식 x³-2x²+3x-1=0 의 세 근을 α-1, β+5, γ+2 라 할 때
(α-4)(β+2)(γ-1) 의 값은?
삼차방정식도 이차방정식과 똑같습니다.
α-1=a → α=a+1
β+5=b → β=b-5
γ+2=c → γ=c-2
로 놓고, 문제를 a, b, c로 바꿉니다.
삼차방정식 x³-2x²+3x-1=0 의 세 근을 a, b, c라 할 때
(a-3)(b-3)(c-3) 의 값은?
그럼 역시 문제가 쉽게(?) 풀립니다.
a+b+c=2, ab+bc+ca=3, abc=1 이므로
(a-3)(b-3)(c-3)=abc-3(ab+bc+ca)+9(a+b+c)-27=-17
('식의 전개와 인수분해 (1)'을 참고해 주세요~)
▶ 수학 전체 목록 바로가기 → www.gajok.co.kr/math.html
'수학' 카테고리의 다른 글
| 가우스 그래프 (0) | 2020.10.07 |
|---|---|
| 가우스 (0) | 2020.10.05 |
| 이차방정식의 해 (8) (0) | 2020.09.23 |
| 이차방정식의 해 (7) (0) | 2020.09.18 |
| 이차방정식의 해 (6) (0) | 2020.09.16 |