점을 점에 대칭시키거나

점을 직선에 대칭시킬 때는

점 하나만 달랑 대칭시키면 되는데
직선을 점에 대칭시킬 때는
직선 위에 있는 무수히 많은 점을 하나씩 하나씩 모두 다 대칭시켜야 합니다.

대칭시키는 점을 계속해서 늘리다보면
새로운 도형(이 경우에는 직선)이 생겨납니다.

이 도형(직선)이 바로
직선을 점에 대칭시킨 '자취'입니다.
그럼 뭐...
이 직선의 방정식이 자취의 방정식이 되겠죠..?!
문제1)
직선 y=2x+1 을
점 (4, 2)에 대칭시킨 자취의 방정식은?
자취의 방정식은
정해진 순서만 따라가면 간단(?)합니다.
먼저
주어진 직선 위의 점들 중
아무점이나 딱 한점만 대칭시킵니다.

그리고
직선 위의 점을 (a, b)
이 점을 대칭시킨 점을 (x, y)로 놓고

x와 y의 관계식을 구하면
이 식이 바로 자취의 방정식입니다.
이제부터의 풀이는
모든 문제집에 나와 있는 풀이 그대로입니다.
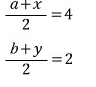
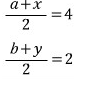
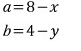
점 (4, 2)는
두 점 (a, b)와 (x, y)의 중점이므로

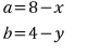
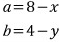
a와 b에 대한 식으로 각각 정리하면

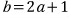
그리는... 점 (a, b)는
직선 y=2x+1 위의 점이므로

이제 이 식에
위에서 구한 a, b를 대입하고

정리하면

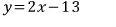
이 놈이 바로
우리가 구하려는 자취의 방정식입니다.
자취의 방정식..!!
어렵지 않습니다. 동의하죠..?! ;;
자취의 방정식과는 관련이 없지만
처음에 언급한
점을 점에 대칭시킨 점
점을 직선에 대칭시킨 점도 구해볼께요~
문제2)
점 (2, 5)를 점 (3, -1)에 대하여 대칭이동한 점의 좌표는?
대칭이동한 점의 좌표를 (a, b)로 놓으면

(3, -1)은
두 점 (2, 5)와 (a, b)의 중점입니다.

따라서
대칭이동한 점의 좌표는 (4, -7)
문제3)
두 점 (4, 1)과 (-2, 5)가 점 P에 대하여 대칭일 때
점 P의 좌표는?
점 P는 두 점 (4, 1)과 (-2, 5)의 중점이므로
점 P의 좌표는 (1, 3)
문제4)
점 (-1, 5)를 직선 3x-y-2=0 에 대하여 대칭이동한 점이 좌표는?
대칭이동한 점의 좌표를 (a, b)로 놓으면

두 점 (-1, 5)와 (a, b)의 중점의 좌표는

직선 3x-y-2=0 위의 점이므로
대입하고 정리하면

그리고
직선 3x-y-2=0 은 기울기가 3이고
두 점 (-1, 5)와 (a, b)를 이은 선분과 수직이므로
두 점 (-1, 5)와 (a, b)를 이은 선분의 기울기는 -1/3

두 식을 연립해서 풀면
a=5, b=3
따라서
대칭이동한 점의 좌표는 (5, 3)
요기로 가면 → www.gajok.co.kr/math.html
다른 글들도 편리하게 볼 수 있습니다.

'수학' 카테고리의 다른 글
| 자취의 방정식 (3) (0) | 2020.10.14 |
|---|---|
| 자취의 방정식 (2) (0) | 2020.10.12 |
| 가우스 그래프 (0) | 2020.10.07 |
| 가우스 (0) | 2020.10.05 |
| 이차방정식의 해 (9) (0) | 2020.10.01 |