728x90
반응형
원을 점에 대칭시키면
그냥 원이죠 뭐...

역시... 원그리기가
세상에서 젤 어렵다는... ;;;;;
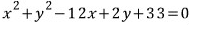
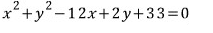
문제)

자취의 방정식 벌써(?) 세번째인데
이젠 감이 잡히는 거죠..?!
아무점이나 딱 한 점만 대칭시킵니다.

그리고
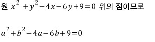
원 위의 점을 (a, b)
이 점을 대칭시킨 점을 (x, y)로 놓고
x와 y의 관계식을 구합니다.

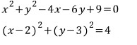
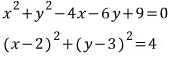
구해보면
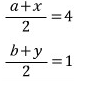
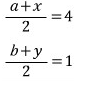
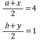
점 (4, 1)은
두 점 (a, b), (x, y)의 중점이므로

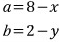
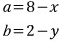
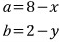
a와 b에 대한 식으로 각각 정리하면

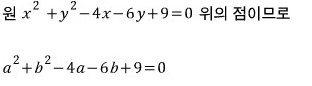
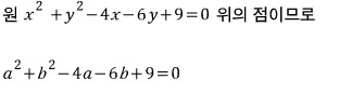
그리고... 점 (a, b)는

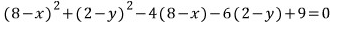
이 식에
위에서 구한 a, b를 대입하고

정리하면

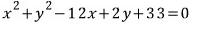
이 놈이 바로
우리가 구하려는 자취의 방정식입니다.
그런데
원의 특성상(?) 다르게 구하기도 하죠
주어진 원의 중심 (2, 3)을

(4, 1)에 대칭시키면
(6, -1)이 나옵니다.

어케 구하냐구요?
여러분이 직접 구해보세요~ ;;;;;
암튼... 이 (6, -1)이
자취의 방정식(원)의 중심이 되고

자취의 방정식(원)의
반지름의 길이도 2
정리하면
우리가 구하려는 자취의 방정식은
중심의 좌표는 (6, -1)이고
반지름의 길이가 2인 원..!!

풀어서 써보면

처음에 식으로 구한 것과 결과가 같습니다.
당연히..!! ^-^//
요기로 가면 → www.gajok.co.kr/math.html
다른 글들도 편리하게 볼 수 있습니다.

728x90
반응형
'수학' 카테고리의 다른 글
| 자취의 방정식 (5) (0) | 2020.10.21 |
|---|---|
| 자취의 방정식 (4) (0) | 2020.10.16 |
| 자취의 방정식 (2) (0) | 2020.10.12 |
| 자취의 방정식 (1) (0) | 2020.10.08 |
| 가우스 그래프 (0) | 2020.10.07 |