728x90
반응형
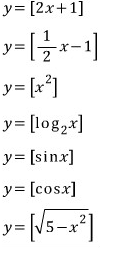
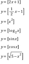
기본(?) 가우스 그래프야 많이 봤지만

가끔 한번씩 등장하는
이런 가우스 그래프를 그리라고 하면 깝깝하죠 ㅠ

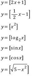
문제1)

가우스를 무시하고 그립니다.

y값을 1 간격으로 끊습니다.

그래프와 만나는 점의 x좌표를 구합니다.

사이사이에 걸린 점들을 바로 밑으로 내립니다.
3과 4사이의 점들은 3으로
2와 3사이의 점들은 2로... 이런 식입니다.
표현을 이런 식으로 밖에 못하겠는데
몇 개 그리다보면 금방 이해가 될 거예요~ ;;;;;

보조선들을 싹 지워주면
이쁜 가우스 그래프가 나옵니다.

문제2)





문제3)





문제4)





문제5)





문제6)





문제7)





문제8)


이 그래프는 '반원의 방정식' 참고요~




아오~ 힘들어...
그래도 반원 하나만 더 할께요~ ;;;;;
문제9)





이제 가우스 그래프 앞에서
너무 쫄지 마세요~ ^-^//
▶ 수학 전체 목록 바로가기 → www.gajok.co.kr/math.html
728x90
반응형
'수학' 카테고리의 다른 글
| 자취의 방정식 (2) (0) | 2020.10.12 |
|---|---|
| 자취의 방정식 (1) (0) | 2020.10.08 |
| 가우스 (0) | 2020.10.05 |
| 이차방정식의 해 (9) (0) | 2020.10.01 |
| 이차방정식의 해 (8) (0) | 2020.09.23 |