728x90
반응형
문제)
점 P가 직선 x+y-1=0 위를 움직일 때
점 A(3, 2)와 점 P를 이은 선분 AP를 2:1로 내분하는 점 Q의
자취의 방정식은?
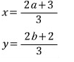
점 P를 (a, b)
점 Q를 (x, y)로 놓고 시작하는 거... 이제 다~ 아시죠? ;;;;;

점 Q는 선분 AP를 2:1로 내분하는 점이므로

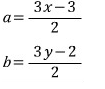
a와 b에 대한 식으로 각각 정리하면

그리고
점 (a, b)는 직선 x+y-1=0 위의 점이므로

이 식에
위에서 구한 a, b를 대입하고

정리하면

이 놈이 바로
우리가 구하려는 자취의 방정식입니다.
그냥 이렇게 풀면 되는데
풀이가 번거롭고 귀찮다고
일부 학생들은 편법(?)으로도 풉니다.
일단
선분 AP를 2:1로 내분하는 점의 자취는
주어진 직선과 평행하다는 거..!!

직선 위에 아무 점이나 하나 잡고 (저는 (1, 0)으로 잡았슴다.)
2:1로 내분하는 점의 좌표를 구해보면

따라서
자취의 방정식을 구하라는 이 문제는

구해보면

그러므로
우리가 구하려는 직선의 방정식은

정리하면

위에서 구했던 자취의 방정식이
똑같이 나옵니다.
의심많은 여러분을 위해서
다른 점으로 다시 한번 풀어보면
이번에는
(1, 0) 대신에 (-2, 3)으로
2:1로 내분하는 점의 좌표를 구해보면


c값은 변함이 없습니다~ ^-^//
요기로 가면 → www.gajok.co.kr/math.html
다른 글들도 편리하게 볼 수 있습니다.

728x90
반응형
'수학' 카테고리의 다른 글
| 자취의 방정식 (6) (0) | 2020.10.23 |
|---|---|
| 자취의 방정식 (5) (0) | 2020.10.21 |
| 자취의 방정식 (3) (0) | 2020.10.14 |
| 자취의 방정식 (2) (0) | 2020.10.12 |
| 자취의 방정식 (1) (0) | 2020.10.08 |