이 글에 대한 AI '클로드'의 평가

(상세한 평가는 이 글 마지막에 있습니다.)

문제1)
y=(x²+2x)²-2(x²+2x+1)-1 (-3≤x≤0) 의
최댓값과 최솟값은?
풀이1)
x²+2x=t 로 치환하면
t=x²+2x
=(x+1)²-1 (-3≤x≤0) 이므로
t의 범위는 -1≤t≤3
이제
y의 최댓값과 최솟값을 구하면
y=t²-2(t+1)-1
=t²-2t-3
=(t-1)²-4 (-1≤t≤3)
t=-1 또는 t=3 일 때(x=-1 또는 x=-3 일 때) 최댓값 0
t=1 일 때(x=-1-√2 일 때) 최솟값 -4
풀이2)
x²+2x+1=t 로 치환하면
t=x²+2x+1
=(x+1)² (-3≤x≤0) 이므로
t의 범위는 0≤t≤4
이제
y의 최댓값과 최솟값을 구하면
y=(t-1)²-2t-1
=t²-4t
=(t-2)²-4 (0≤t≤4)
t=0 또는 t=4 일때(x=-1 또는 x=-3 일 때) 최댓값 0
t=2 일 때(x=-1-√2 일 때) 최솟값 -4
문제2)

우선 식부터 살짝 정리해 놓고

문제3)

우선 식부터 살짝 정리해 놓고

이제부터 그래프는 생략임다.
여러분이 직접 그려보세요~ ;;;;;

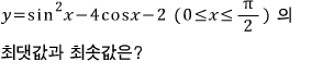
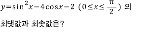
문제4)

문제5)

문제6)

우선 식부터 살짝 정리해 놓고

문제7)

우선 식부터 살짝 정리해 놓고

문제8)

문제9)

문제10)

문제11)

문제12)

우선 식부터 살짝 정리해 놓고

▶ 수학 전체 목록 바로가기 → www.gajok.co.kr/math.html

'수학' 카테고리의 다른 글
| 일차식의 최대최소 (1) (0) | 2021.01.11 |
|---|---|
| 방정식을 두 함수로 나누기 (0) | 2021.01.07 |
| 이차함수 (1) (0) | 2020.12.31 |
| 두 함수의 위치관계 (0) | 2020.12.28 |
| 일차함수 (3) (0) | 2020.12.24 |