이 글에 대한 AI '클로드'의 평가

(상세한 평가는 이 글 마지막에 있습니다.)

근은 이케 간단하게 구하지만
근의 의미를 생각해보면
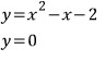
이 이차방정식의 근 -1과 2는
아래 두 함수의 교점의 x좌표입니다.

그래프로 확인해보면 이런 상황입니다.

이 이차방정식을 다르게 해석해보면

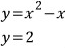
즉, 이 이차방정식의 근 -1과 2는
아래 두 함수의 교점의 x좌표입니다.

역시 그래프로 확인해보면

또 다르게 해석해보면

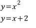
즉, 이 이차방정식의 근 -1과 2는
아래 두 함수의 교점의 x좌표입니다.

역시 그래프로 확인해보면

이렇게 하나의 방정식을
두 개의 함수로 나눠서 이해하는 것은
수학에서 중요하고 유용한 개념입니다.
위와 같은 이차방정식을 굳이
이렇게 저렇게 나눠서 풀 필요는 없지만
3차 이상의 고차방정식에서는
근의 개수 구할 때(두 함수의 교점의 개수 구할 때) 아주 유용합니다.

증감표를 만듭니다.

근의 개수를 확인해보면
(극댓값<0) 또는 (극솟값>0) 이면 실근 1개

(극댓값=0) 또는 (극솟값=0) 이면 서로 다른 실근 2개

(극댓값>0) 그리고 (극솟값<0) 이면 서로 다른 실근 3개

살짝(?) 복잡하고 귀찮습니다.
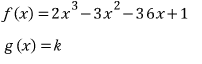
그래서 이번에는
k를 넘겨서 풀어보겠습니다. 요렇게

두 개의 함수로 보고

f(x)의 증감표와 그래프를 그리면

k값을 옮겨가면서
실근의 개수를 쉽게(?) 확인할 수 있습니다.

좀 더 세분화(?) 해보겠습니다.
y절편도 미리 확인해두고... (이 경우에는 y절편이 1)







똑같은 문제를 다르게 묻기도 하죠
요렇게

결국은 모두 같은 문제입니다.
하나 덧붙이면
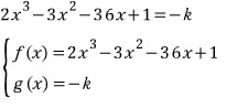
혹시나 방정식이 이렇게 주어지면

이렇게 나눠도 되고

이렇게 나눠도 됩니다.

그런데 첫번째 경우와 같이
-k로 나누면 나중에 답을 쓸 때
다시 한번 정리해야 하는 번거로움이 있습니다.
그래서 두번째 경우와 같이
그냥 k로 나누는 것이 조금 편합니다.
여러분이 직접 두가지 경우로 각각 풀어보세요~
그럼 어떻게 나누는 것이 조금이나마 편한지 알 수 있을 것입니당~ ^-^//
▶ 수학 전체 목록 바로가기 → www.gajok.co.kr/math.html


'수학' 카테고리의 다른 글
| 일차식의 최대최소 (2) (0) | 2021.01.14 |
|---|---|
| 일차식의 최대최소 (1) (0) | 2021.01.11 |
| 이차함수 (2) (0) | 2021.01.04 |
| 이차함수 (1) (0) | 2020.12.31 |
| 두 함수의 위치관계 (0) | 2020.12.28 |