이 글에 대한 AI '클로드'의 평가

(상세한 평가는 이 글 마지막에 있습니다.)
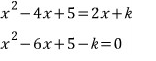
문제1)

풀이1)
걍 대입해서 풀면

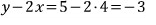
따라서, (y-2x)의
최솟값은 -4, 최댓값은 없다.
정확히 말하면
x=3 일 때, (y-2x)의 최솟값은 -4
더 정확히 말하면
x=3 일 때, y=2 이므로
x=3, y=2 일 때, (y-2x)의 최솟값은 -4
풀이2)
그래프로 풀면
일단 꼭지점은 (2, 1)

그림과 같이
서로 접할 때, k는 최소가 됩니다.

이 말이 이해가 안되면
'일차식의 최대최소 (1)'을 한번 읽고 오세요~ 암튼

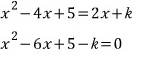
두 식을 연립하고
판별식을 이용하여 구합니다.

접하므로 판별식은 0

참고로, 엄밀히 말하면

앞으론
이런 건 안 따질께요~ 암튼 그래서
풀면 k=-4
즉, (y-2x)의 최솟값은 -4
이 때의 x, y 값을 구하라고 하면

여기에서
k에 -4를 대입하고

연립해서 풀면 됩니다.

풀면 x=3, y=2
접점의 좌표가 (3, 2)이고, y절편이 -4란
아주 어마무시한 의미입니다..!!

문제2)

문제1과 똑같은데
이번에는 x의 범위가 주어졌네요
풀이1)

(y-2x)의 최댓값 0
(y-2x)의 최솟값 -4
정확히 말하면
x=1 일 때, (y-2x)의 최댓값 0
x=3 일 때, (y-2x)의 최솟값 -4
더 정확히 말하면
x=1, y=2 일 때, (y-2x)의 최댓값 0
x=3, y=2 일 때, (y-2x)의 최솟값 -4
풀이2)
그래프를 그려보면

일단, 최솟값은
문제1의 풀이2와 똑같이

두 식을 연립하고

판별식을 이용해서 구합니다.
접하므로 판별식은 0

풀면 k=-4
즉, (y-2x)의 최솟값은 -4
이 때의 x, y 값은..?
이건
문제1의 풀이2에 나와 있습니다.
확인해 보던가
다시 한번 풀어보던가
귀찮으면 걍 넘어가던가
여러분 맘대로 하세요~ ;;;;;
다음으로
최댓값은 (1, 2)를 지날 때입니다.
역시 이 말이 이해가 안되면
'일차식의 최대최소 (1)'을 한번 읽고 와야 합니다~ 암튼
그래서 최댓값은

그 때(최댓값을 가질 때)의
x값, y값도 그냥 나왔네요
x=1, y=2
참고로
그림을 엉성하게(?) 그리면
(1, 2)를 지날 때가 최대인지
(4, 5)를 지날 때가 최대인지 애매해집니다.
그럴 때는
(1, 2)와 (4, 5)를 지나는 직선의 기울기 1과
y=2x+k 의 기울기 2를 비교해서 상황파악을 해야합니다.
나는 이것이 귀찮다. 그러면
(1, 2)와 (4, 5), 둘 다 대입해서
값이 더 클 때가 최댓값입니다.
(1, 2)를 대입하면

(4, 5)를 대입하면

(1, 2)를 대입했을 때가 더 크네요
따라서, x=1, y=2 일 때
최댓값을 가집니다.
어떤 풀이가 맘에 드나요..?
대부분의 학생들은
풀이2는 버리고 풀이1을 선택할 듯요 ㅠ
선택이야 여러분 맘이지만
이 글은 풀이2를 위한 글입니다..!!
풀이1은 걍 참고용이구요~ ^-^// ;;;;;
▶ 수학 전체 목록 바로가기 → www.gajok.co.kr/math.html


'수학' 카테고리의 다른 글
| 이차식의 최대최소 (1) (0) | 2021.01.21 |
|---|---|
| 일차식의 최대최소 (3) (0) | 2021.01.18 |
| 일차식의 최대최소 (1) (0) | 2021.01.11 |
| 방정식을 두 함수로 나누기 (0) | 2021.01.07 |
| 이차함수 (2) (0) | 2021.01.04 |