조금씩 변형돼서 등장하는
절댓값 그래프의 유형들을 보면
① 절댓값 안에 또 절댓값

② 평행이동

③ x의 계수가 음수

차례대로 한번 그려보겠습니다.
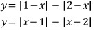
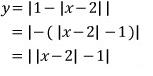
① 절댓값 안에 또 절댓값

그냥 안에서부터 차례대로 그리면 됩니다.
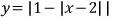
먼저

y축 방향으로 -1만큼 평행이동

마지막으로 전체 절댓값

간단하죠..?!
각각의 그래프가 이해가 잘 안되면
'절댓값 그래프 (1)', '절댓값 그래프 (2)' 참고요~
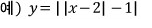
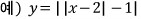
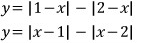
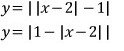
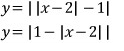
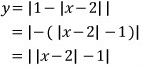
하나 더 해볼까요

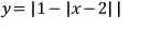
먼저

y축 방향으로 1만큼 평행이동

마지막으로 전체 절댓값

어라..?! 앞에서 그린 그래프와 똑같네요
그 이유는 아마도 이 글 마지막에 나올 듯요 ;;;;;
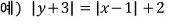
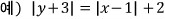
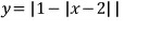
또 하나 더 해보면

이런 건 셤에는 거의 나오지 않지만
그래도 하는 김에 한번 그려보는 것도 뭐... ;;;;;
일단 여기까지 와서

다시 y축 방향으로 -1만큼 평행이동

마지막으로 다시 전체 절댓값

뭐... 이런 식이라면
절댓값이 몇 개가 씌워져 있든
얼마든지 그래프를 그릴 수 있겠죠..?! ;;;;;
② 평행이동

먼저
평행이동 하기 전의 그래프부터 그리고

x축 방향으로 1만큼
y축 방향으로 -3만큼 평행이동

간단하죠...?!
역시 각각의 그래프가 이해가 잘 안되면
'절댓값 그래프 (1)', '절댓값 그래프 (2)' 참고요~
하나 더 해보면

먼저
평행이동 하기 전의 그래프부터 그리고

x축 방향으로 1만큼
y축 방향으로 -3만큼 평행이동

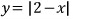
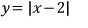
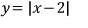
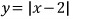
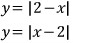
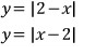
③ x의 계수가 음수
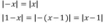
절댓값은
안에 마이너스가 있으나 없으나 같습니다. 즉

따라서

이걸 그리라고 하면
부호 바꿔서

이걸 그리면 됩니다.
그렇기 때문에

이 두 그래프의 모양은 똑같습니다.

하나 더 해보면

이 두 그래프의 모양도 똑같습니다.

마지막으로 하나 더

이 두 그래프의 모양도 똑같습니다.

그래프가 이해가 잘 안되나요..? 그럼
'절댓값 그래프 (1)', '절댓값 그래프 (2)' 참고요~
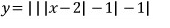
아... 참... 깜박할 뻔 했네요

처음에 그렸던
두 그래프의 모양이 왜 똑같았는지 이제 이해가 되죠..?!

이 정도 했으면 뭐...
절댓값 그래프는 거의 완벽..!! ^-^// ;;;;;
▶ 수학 전체 목록 바로가기 → www.gajok.co.kr/math.html
'수학' 카테고리의 다른 글
| 평균·분산·표준편차 (2) (0) | 2021.03.11 |
|---|---|
| 절댓값이 포함된 방정식과 부등식 (0) | 2021.03.08 |
| 절댓값 그래프 (2) (0) | 2021.03.01 |
| 절댓값 그래프 (1) (1) | 2021.02.25 |
| 식, 함수, 방정식 (0) | 2021.02.22 |