여기에 나와 있는
그래프나 풀이가 이해가 잘 안되면
'그래프 읽기'
'방정식을 두 함수로 나누기'를 참고하세요~
문제1)

점 A는
두 직선 y=x-2 와 y=3 의 교점

점 B는
두 직선 y=-x+2 와 y=3 의 교점

따라서

점 A의 좌표는 (5, 3)
점 B의 좌표는 (-1, 3)
그래프를 이용해서 풀면
방정식과 부등식이 한방에 다 해결됩니다..!!
식으로 푸는 건
방정식은 '절댓값 (1)'의 문제2
부등식은 '절댓값 (3)'의 문제1과 문제2를 참고하세요~
문제2)

점 A는
두 직선 y=2x+1 과 y=5 의 교점

점 B는
두 직선 y=-2x-1 과 y=5 의 교점

따라서

점 A의 좌표는 (2, 5)
점 B의 좌표는 (-3, 5)
식으로 푸는 건
방정식은 '절댓값 (1)'의 문제5
부등식은 '절댓값 (3)'의 문제3과 문제4를 참고하세요~
문제3)

살짝(?) 특이한 문제입니다.
걍 답만 적어 볼께요~

식으로 푸는 건
방정식은 '절댓값 (1)'의 문제6을 참고하세요~
(부등식은 식으로 푼 게 없어요. 여러분이 직접 한번 풀어보세여~ ;;;;;)
문제4)

점 A는
두 직선 y=3x-6 과 y=4 의 교점

점 B는
두 직선 y=-3x+6 과 y=4 의 교점

따라서

식으로 푸는 건
방정식은 '절댓값 (1)'의 문제8
부등식은 '절댓값 (3)'의 문제5와 문제6을 참고하세요~
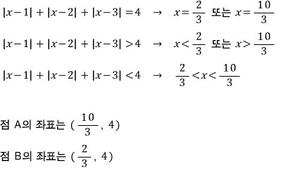
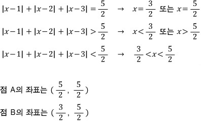
문제5)

점 A는

점 B는


그래프만 잘 봐도 값이 보이죠..?!
아닌가요..?! ;;;;; 암튼
따라서

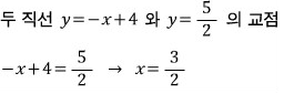
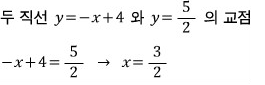
문제6)

점 A는
두 직선 y=-x+5 와 y=3x-1 의 교점

따라서

식으로 푸는 건
부등식은 '절댓값 (3)'의 문제7과 문제8을 참고하세요~
(방정식은 식으로 푼 게 없어요. 여러분이 직접 한번 풀어보세여~ ;;;;;)
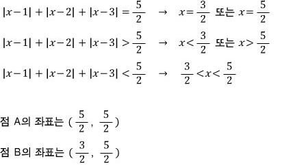
문제7)

점 A는
두 직선 y=-x+5 와 y=3x-1 의 교점

점 B는
두 직선 y=-x+5 와 y=-3x+1 의 교점

따라서

식으로 푸는 건
부등식은 '절댓값 (3)'의 문제9와 문제10을 참고하세요~
(방정식은 식으로 푼 게 없어요. 여러분이 직접 한번 풀어보세여~ ;;;;;)
여기까지임다~ ^-^//
▶ 수학 전체 목록 바로가기 → www.gajok.co.kr/math.html
'수학' 카테고리의 다른 글
| 평균·분산·표준편차 (3) (0) | 2021.03.15 |
|---|---|
| 평균·분산·표준편차 (2) (0) | 2021.03.11 |
| 절댓값 그래프 (3) (0) | 2021.03.04 |
| 절댓값 그래프 (2) (0) | 2021.03.01 |
| 절댓값 그래프 (1) (1) | 2021.02.25 |