60점, 50점, 40점의
평균, 분산, 표준편차를 구해보겠습니다.
먼저, 평균을 구하고 (보통 m으로 나타냅니다.)

표를 만듭니다.

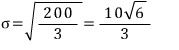
(편차의 제곱)을 모두 더하면 200
변량은 3개
따라서, 분산은 (보통 시그마제곱으로 나타냅니다.)

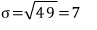
표준편차는 (보통 시그마로 나타냅니다.)

평균, 분산, 표준편차
누가 어렵다 했죠..?! ;;;;;
이번에는
60점 3명, 50점 5명, 40점 2명의
평균, 분산, 표준편차를 구해보겠습니다.

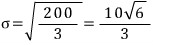
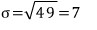
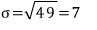
(편차의 제곱)을 모두 더하면 490
변량은 10개
따라서, 분산은

표준편차는

그런데, 점수가 같은 사람이 있을 경우에는
도수를 사용해서 표를 간단하게 만들죠..?! 요렇게

여기서 (편차의 제곱)의 합은
81+1+121=203 이 아니고
81이 3명, 1이 5명, 121이 2명
이기 때문에
(편차의 제곱)의 합은
(81x3) + (1x5) + (121x2)
= 243 + 5 +242
= 490 이 됩니다.
그래서
결과는 똑같다는 거..!!
하나 더 이야기하면
이 표를 보고
(편차의 합)이 0이 아니라고 질문하는 학생들이 가끔 있는데
마찬가지 이유로
편차가
9가 3명, -1이 5명, -11이 2명
이기 때문에
(편차의 합)은
9 + (-1) + (-11) = -3 이 아니고
(9x3) + (-1x5) + (-11x2)
= 27 + (-5) + (-22)
= 0 이 됩니다.
문제1)

풀이1)
두 근은 1, 3
평균은 2

(편차의 제곱)의 합은 2
따라서
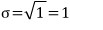
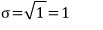
분산은 1
표준편차도 1
이 정도는 이해되는 거죠..?!
이해가 잘 안되면 위의 내용을 다시 한번 읽고 오세요~ ;;;;;
풀이2)
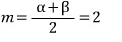
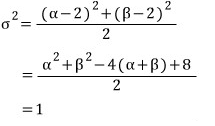
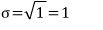
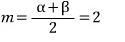
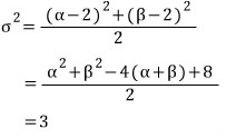
두 근은 α, β로 놓으면
α+β=4, αβ=3
평균은

분산은

표준편차는

풀이3)
'평균·분산·표준편차 (3)'의 문제1에 있습니다.
문제2)

풀이1)

평균은 2

(편차의 제곱)의 합은 6
따라서

풀이2)
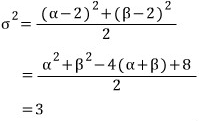
두 근을 α, β로 놓으면
α+β=4, αβ=1
평균은

분산은

표준편차는

풀이3)
'평균·분산·표준편차 (3)'의 문제2에 있습니다.
문제3)

풀이1)
인수분해하면

따라서, 세 근은 1, 2, 3
평균은 2

(편차의 제곱)의 합은 2
따라서

풀이2)
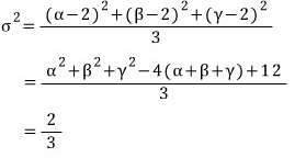
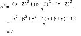
세 근을 α, β, γ로 놓으면
α+β+γ=6, αβ+βγ+γα=11, αβγ=6
평균은

분산은

표준편차는

풀이3)
'평균·분산·표준편차 (3)'의 문제3에 있습니다.
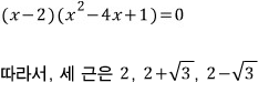
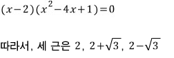
문제4)

풀이1)
인수분해하면

평균은 2

(편차의 제곱)의 합은 6
따라서

풀이2)
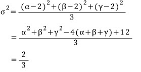
세 근을 α, β, γ로 놓으면
α+β+γ=6, αβ+βγ+γα=9, αβγ=2
평균은

분산은

표준편차는

풀이3)
'평균·분산·표준편차 (3)'의 문제4에 있습니다.
어떤 풀이가 더 맘에 드시는지... ^-^//
▶ 수학 전체 목록 바로가기 → www.gajok.co.kr/math.html
'수학' 카테고리의 다른 글
| 평균·분산·표준편차 (4) (0) | 2021.03.18 |
|---|---|
| 평균·분산·표준편차 (3) (0) | 2021.03.15 |
| 절댓값이 포함된 방정식과 부등식 (0) | 2021.03.08 |
| 절댓값 그래프 (3) (0) | 2021.03.04 |
| 절댓값 그래프 (2) (0) | 2021.03.01 |