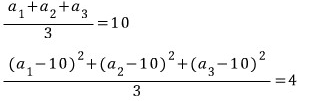
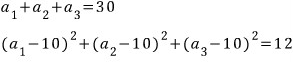
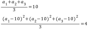
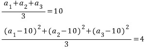
문제1)
남자 3명의 평균은 10, 분산은 4
여자 2명의 평균은 10, 분산은 9일 때
전체 5명의 분산은?
두 집단의 평균이 같으면
풀이도 간단하고(?) 심지어 공식도 있습니다.
풀이1)
편차를 이용해서 구해보겠습니다.
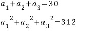
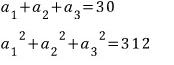
(남자 3명)

정리하면

(여자 2명)

정리하면

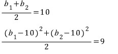
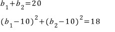
(전체 5명)
평균은

분산은

풀이2)
제곱의 평균을 이용해서 구해보겠습니다.
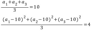
(남자 3명)

정리하면

(여자 2명)

정리하면

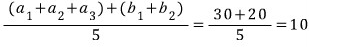
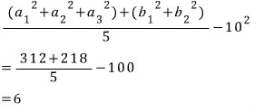
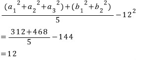
(전체 5명)
평균은

분산은

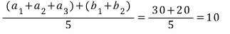
풀이3)
공식을 이용해서 구해보겠습니다.
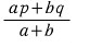
평균이 같은
두 집단 A, B의 분산과 도수가 아래 표와 같을 때

두 집단 전체의 분산은

이 문제에 적용해 보면

따라서, 분산은

복습하는 셈치고 똑같은 문제 하나 더..!!
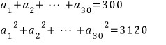
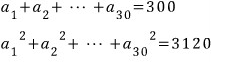
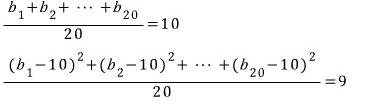
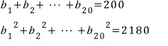
문제2)
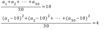
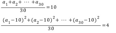
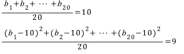
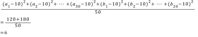
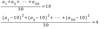
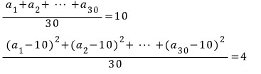
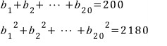
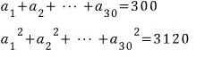
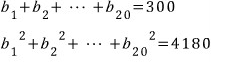
남자 30명의 평균은 10, 분산은 4
여자 20명의 평균은 10, 분산은 9일 때
전체 50명의 분산은?
풀이1)
편차 이용
(남자 30명)

정리하면

(여자 20명)

정리하면

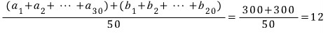
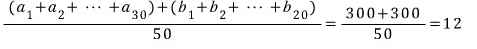
(전체 50명)
평균은

분산은

풀이2)
제곱의 평균 이용
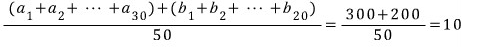
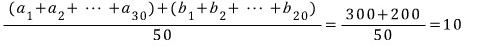
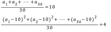
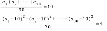
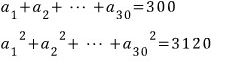
(남자 30명)

정리하면

(여자 20명)

정리하면

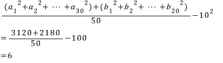
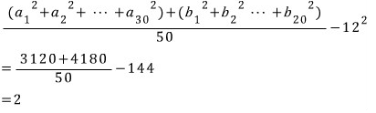
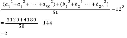
(전체 50명)
평균은

분산은

풀이3)
공식 이용

따라서, 분산은

두 집단의 평균이 다르면
풀이도 복잡하고(?) 심지어 공식도 없습니다.
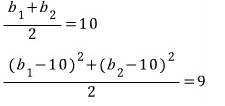
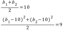
문제3)
남자 3명의 평균은 10, 분산은 4
여자 2명의 평균은 15, 분산은 9일 때
전체 5명의 분산은?
풀이1)
편차 이용
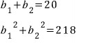
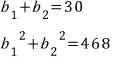
(남자 3명)

정리하면

(여자 2명)

정리하면

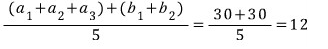
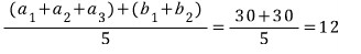
(전체 5명)
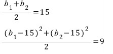
평균은

분산은

풀이2)
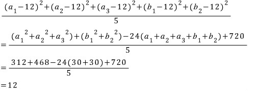
제곱의 평균 이용
평균은

분산은

역시
복습하는 셈치고 똑같은 문제 하나 더..!!
문제4)
남자 30명의 평균은 10, 분산은 4
여자 20명의 평균은 15, 분산은 9일 때
전체 50명의 분산은?
풀이1)
편차 이용
(남자 30명)

정리하면

(여자 20명)

정리하면

(전체 50명)
평균은

분산은

풀이2)
제곱의 평균 이용
평균은

분산은

어라..?! 분산이 왜 이케 작게 나오지..?
틀렸나..?! 아닌데... ㅠ ^-^//
▶ 수학 전체 목록 바로가기 → www.gajok.co.kr/math.html
'수학' 카테고리의 다른 글
| 회전시킨 점의 좌표 (1) | 2021.03.25 |
|---|---|
| 이중근호 (1) | 2021.03.22 |
| 평균·분산·표준편차 (3) (0) | 2021.03.15 |
| 평균·분산·표준편차 (2) (0) | 2021.03.11 |
| 절댓값이 포함된 방정식과 부등식 (0) | 2021.03.08 |