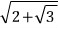
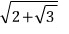
이중근호는
교육과정에서 빠진 거 같은데
딱히 어려운 것도 아니고
알아둬도 뭐 나쁘지 않죠
혹시 아나요..?
나중에 요긴하게 써먹을 때가 있을지... ;;;;;
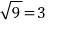
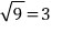
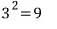
3을 제곱하면 9입니다.

거꾸로
9에 루트를 씌우면 3이 나오죠

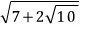
똑같은 방식으로

그럼

이중근호가 나왔네요
이중근호는 말그대로
루트안에 루트가 있는 것을 말합니다.
지금이야

이것만 주고 풀라고 하면..?
이제부터 알아보려구요 ;;;;;
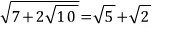
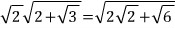
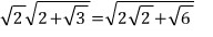
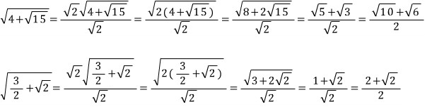
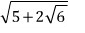
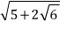
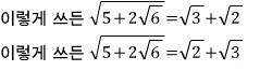
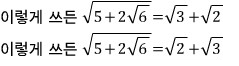
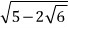
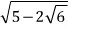
힌트는 5와 6입니다.
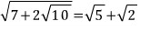
위의 계산과정을 보면
5는 2와 3을 더해서 나왔고
6은 2와 3을 곱해서 나왔습니다..!!
감을 잡았나요..?

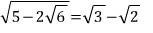
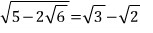
더해서 5가 나오고
곱해서 6이 나오는 수가 뭐가 있지..? 를 생각하면 됩니다.
그럼 뭐... 2와 3이니까 각각 루트를 씌워서

푸는 게 아니라
찍는 거 같다구요..?
원래 이중근호는 이렇게 풀어요오~
몇 개 연습해 볼께요

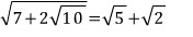
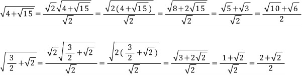
더해서 7, 곱해서 10
뭐죠..? 2와 5입니다. 따라서

아래 문제는 여러분이 풀어보세요~

위에서 말을 안 했는데
루트 앞에 2는 반드시 있어야 합니다.
2가 없을 때는
무슨 수를 써서라도 2를 만들어 줘야 합니다.

문제는
2는 빼지도 남기지도 못하는 상황입니다. 뭐 이런 거

이럴 때는 분자, 분모에

가끔 이걸 이렇게 계산하는 학생들이 있는데

이거 아니예요~ 암튼
두어 개 더 풀어보면

이쯤해서 끝냈으면 좋겠지만
아직 이야기할 게 남아있네요 ;;;;;
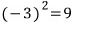
음수일 때는
신경써야 할 게 있습니다.
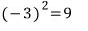
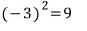
처음으로 돌아가서
-3을 제곱하면 9입니다.

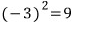
근데 9에 루트를 씌우면
-3이 나오는 것이 아니라 3이 나오죠

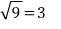
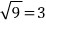
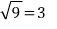
정리해 보면
3을 제곱해도 9가 나오고

-3을 제곱해도 9가 나오지만

9에 루트를 씌우면
3만 나옵니다. -3은 나오지가 않습니다..!!

똑같은 방식으로

왜냐면

나름 심혈을 기울여 설명했는데
이해가 되셨을라나... ;;;;; 암튼
최종정리입니다.
플러스일 때는

2와 3을 찾아서

아무런 상관이 없지만
마이너스일 때는

2와 3을 찾아서
큰 수 3을 앞에, 작은 수 2를 뒤에 써야 합니다..!!
그래야 양수가 되니까요

작은 수를 앞에 쓰면 아니되옵니다~

왜..? 음수가 되니까요
끄으으으읏~ ^-^//
▶ 수학 전체 목록 바로가기 → www.gajok.co.kr/math.html
'수학' 카테고리의 다른 글
| 삼각비로 좌표 나타내기 (0) | 2021.03.29 |
|---|---|
| 회전시킨 점의 좌표 (1) | 2021.03.25 |
| 평균·분산·표준편차 (4) (0) | 2021.03.18 |
| 평균·분산·표준편차 (3) (0) | 2021.03.15 |
| 평균·분산·표준편차 (2) (0) | 2021.03.11 |